【二叉树的内存管理】创建和释放一棵二叉树
二叉树结点
首先定义一个二叉树结点的结构体
typedef struct MyTreeNode
{
struct MyTreeNode* left;
struct MyTreeNode* right;
char data;
}MyTreeNode;
创建一棵二叉树
使用#号法创建一棵二叉树,如果没有左/右子树,则用#号代替,采取先创建根结点、然后创建左子树,最后创建右子树的方法创建二叉树(前序遍历),代码如下:
MyTreeNode * create_tree()
{
MyTreeNode* node = NULL;
char c;
scanf("%c", &c);
if (c == '#')
{
node = NULL;
}
else
{
node = (MyTreeNode*)malloc(sizeof(MyTreeNode));
node->data = c;
node->left = create_tree();
node->right = create_tree();
}
return node;
}
释放一棵二叉树
因为二叉树在创建的时候,所有结点都是malloc分配的,所以需要我们通过free来实现释放二叉树的内存。在释放二叉树的内存时,一定要先释放左右子树,最后释放根结点。代码如下:
void free_tree(MyTreeNode* tree)
{
if (tree != NULL)
{
if (tree->left != NULL)
{
free_tree(tree->left);
tree->left = NULL;
}
if (tree->right != NULL)
{
free_tree(tree->right);
tree->right = NULL;
}
free(tree);
tree = NULL;
}
}
算法测试
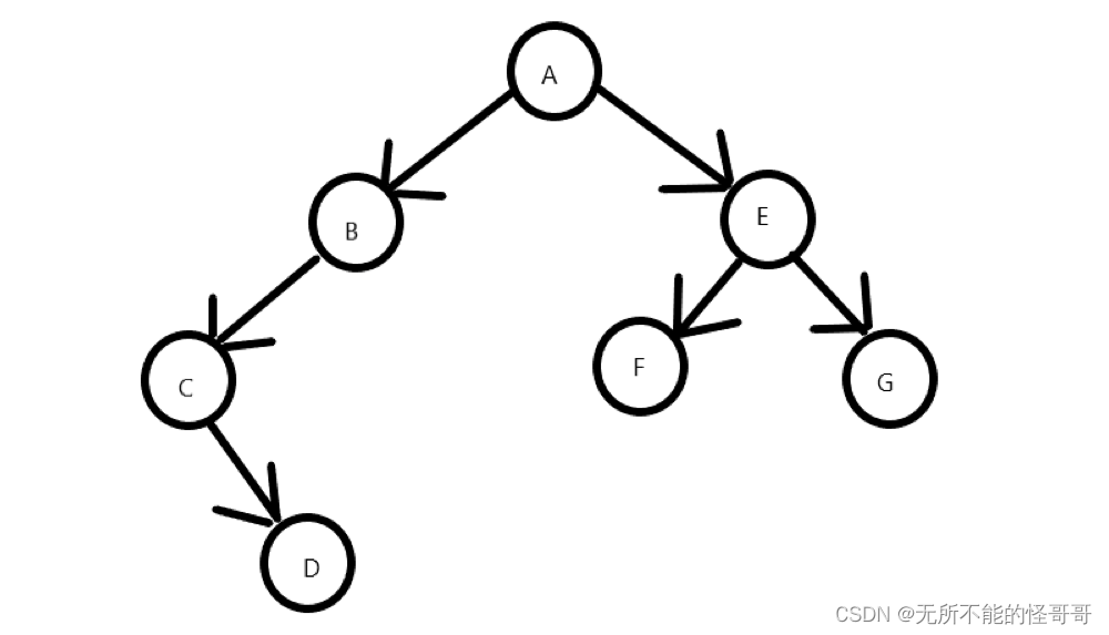
首先创建一棵二叉树如下图所示,使用本文的算法创建,并使用前序遍历打印

测试程序
#define _CRT_SECURE_NO_WARNINGS
#include <stdlib.h>
#include <string.h>
#include <stdio.h>
//树结点结构体
typedef struct MyTreeNode
{
struct MyTreeNode* left;
struct MyTreeNode* right;
char data;
}MyTreeNode;
//二叉树的前序遍历
void preorder_traversal(MyTreeNode* tree)
{
if (tree == NULL)
{
return;
}
printf("%c ", tree->data);
preorder_traversal(tree->left);
preorder_traversal(tree->right);
}
//创建一颗二叉树(先创建根,后创建左子树,再创建右子树)
MyTreeNode * create_tree()
{
MyTreeNode* node = NULL;
char c;
scanf("%c", &c);
if (c == '#')
{
node = NULL;
}
else
{
node = (MyTreeNode*)malloc(sizeof(MyTreeNode));
node->data = c;
node->left = create_tree();
node->right = create_tree();
}
return node;
}
//释放一颗二叉树(先释放左右子树,后释放根)
void free_tree(MyTreeNode* tree)
{
if (tree != NULL)
{
if (tree->left != NULL)
{
free_tree(tree->left);
tree->left = NULL;
}
if (tree->right != NULL)
{
free_tree(tree->right);
tree->right = NULL;
}
free(tree);
tree = NULL;
}
}
int main()
{
MyTreeNode* tree = create_tree();
printf("前序遍历:");
preorder_traversal(tree);
printf("\n");
free_tree(tree);
system("pause");
return 0;
}
运行并输入
ABC#D###EF##G##


浙公网安备 33010602011771号