会员
周边
新闻
博问
闪存
众包
赞助商
Chat2DB
所有博客
当前博客
我的博客
我的园子
账号设置
会员中心
简洁模式
...
退出登录
注册
登录
JasperHa
博客园
首页
新随笔
联系
订阅
管理
prml 课后习题第一章
1.1
1.3
1.5
1.6
1.7
1.8
1.49证明
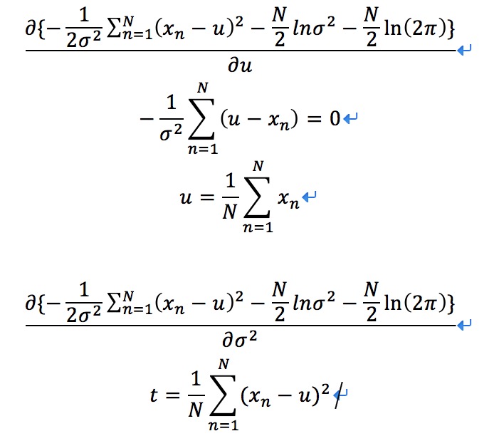
1.10
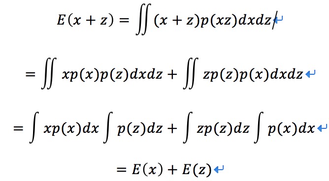
(1)
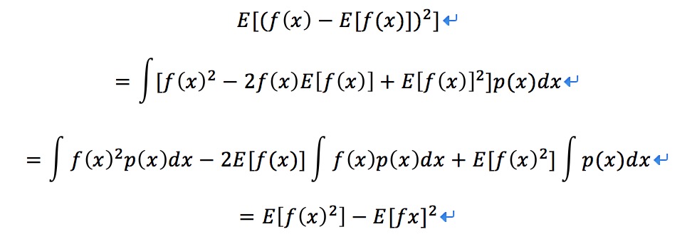
(2)
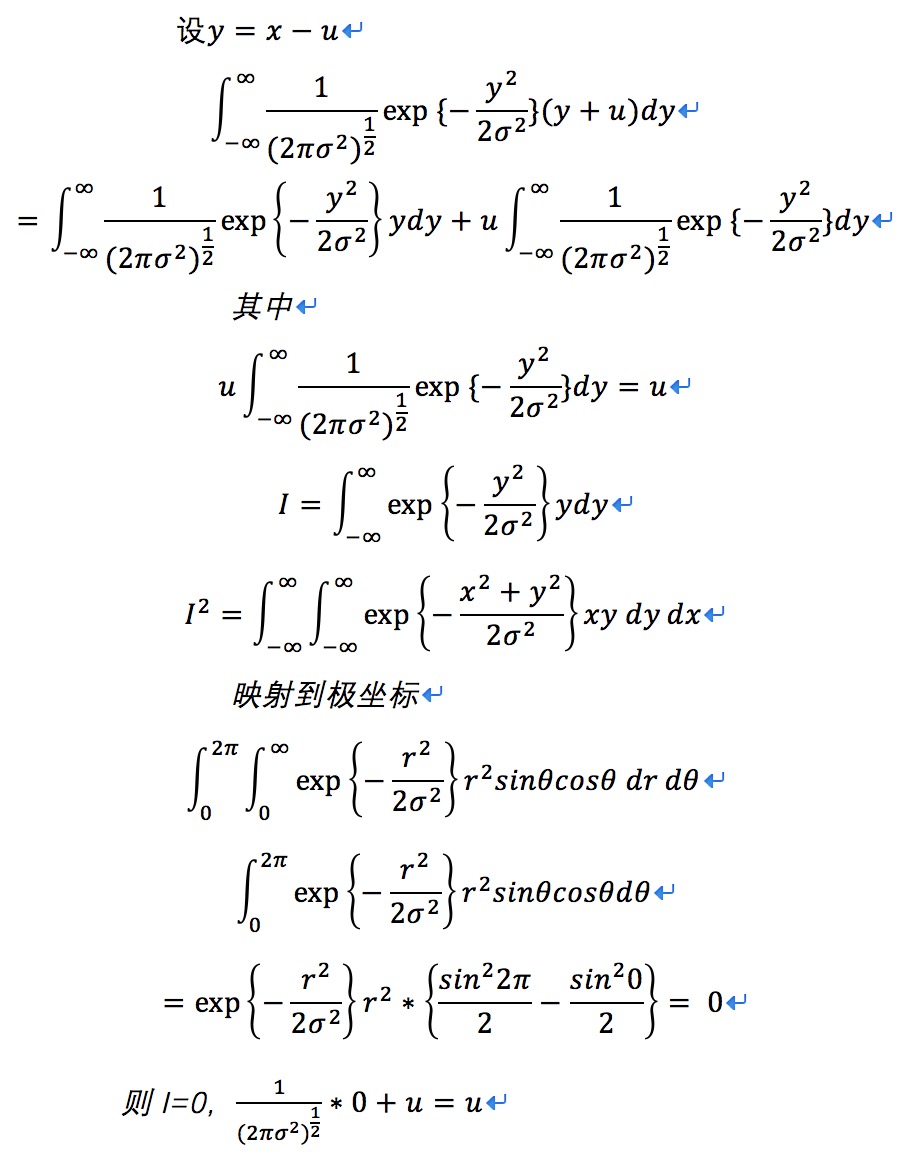
1.11
1.14
1.15
posted @
2018-04-19 09:52
JasperHa
阅读(
964
) 评论(
0
)
收藏
举报
刷新页面
返回顶部
公告