从正则表达式到 NFA 到 DFA 到最简 DFA (一)
从正则表达式到 NFA 到 DFA 到最简 DFA (一)
(博客园这个 markdown 编辑器竟然不支持 LaTeX……无语)
发现了启用数学公式的选项……错怪博客园了……
RE → NFA (Thompson 算法)
这一步是基于对正则表达式的结构做归纳:对基本的 RE 直接构造,对复合的 RE 递归构造。
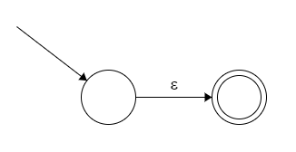
(直接) e → ε 或 e → c


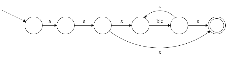
(递归) e → e1 e2 或 e → e1|e2 或 e → e1*



(博客园这个 markdown 编辑器竟然不支持 LaTeX……无语)
发现了启用数学公式的选项……错怪博客园了……
这一步是基于对正则表达式的结构做归纳:对基本的 RE 直接构造,对复合的 RE 递归构造。







