相交链表
编写一个程序,找到两个单链表相交的起始节点。
如下面的两个链表:

在节点 c1 开始相交。
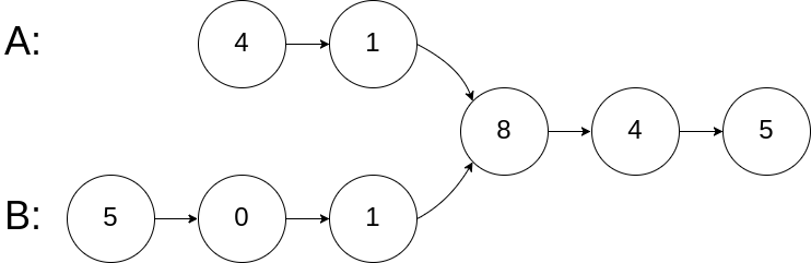
示例 1:

输入:intersectVal = 8, listA = [4,1,8,4,5], listB = [5,0,1,8,4,5], skipA = 2, skipB = 3
输出:Reference of the node with value = 8
输入解释:相交节点的值为 8 (注意,如果两个列表相交则不能为 0)。从各自的表头开始算起,链表 A 为 [4,1,8,4,5],链表 B 为 [5,0,1,8,4,5]。在 A 中,相交节点前有 2 个节点;在 B 中,相交节点前有 3 个节点。
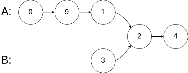
示例 2:

输入:intersectVal = 2, listA = [0,9,1,2,4], listB = [3,2,4], skipA = 3, skipB = 1
输出:Reference of the node with value = 2
输入解释:相交节点的值为 2 (注意,如果两个列表相交则不能为 0)。从各自的表头开始算起,链表 A 为 [0,9,1,2,4],链表 B 为 [3,2,4]。在 A 中,相交节点前有 3 个节点;在 B 中,相交节点前有 1 个节点。
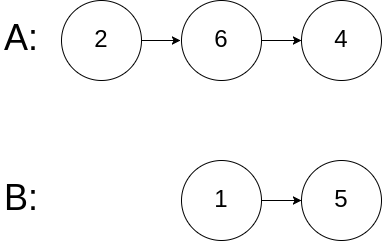
示例 3:

输入:intersectVal = 0, listA = [2,6,4], listB = [1,5], skipA = 3, skipB = 2
输出:null
输入解释:从各自的表头开始算起,链表 A 为 [2,6,4],链表 B 为 [1,5]。由于这两个链表不相交,所以 intersectVal 必须为 0,而 skipA 和 skipB 可以是任意值。
解释:这两个链表不相交,因此返回 null。
注意:
如果两个链表没有交点,返回 null.
在返回结果后,两个链表仍须保持原有的结构。
可假定整个链表结构中没有循环。
程序尽量满足 O(n) 时间复杂度,且仅用 O(1) 内存。
如果两个链表都是一样长的就好了,那么同时遍历两个链表,如果遍历过程中指向两个链表的指针指向同一个节点就找到了,如果这个过程有一个链表遍历完了,肯定就没找到,但是题目的问题是这俩链表不是一样长的,那么我就想办法让两个链表一样长,就是先遍历得到两个链表长度,然后做差,然后较长的那个链表的指针走到链表剩的长度和较短的一样,之后执行以上的过程,这样就ok了,结果调整一些边界条件,过了 执行用时 :1 ms, 在所有 Java 提交中击败了100.00%的用户 内存消耗 :43.3 MB, 在所有 Java 提交中击败了13.58%的用户
/**
* Definition for singly-linked list.
* public class ListNode {
* int val;
* ListNode next;
* ListNode(int x) {
* val = x;
* next = null;
* }
* }
*/
public class Solution {
public ListNode getIntersectionNode(ListNode headA, ListNode headB) {
if(headA==headB){
return headA;
}
ListNode tmp1=headA,tmp2=headB;
ListNode res=null;
int lena=0,lenb=0;
while(tmp1!=null||tmp2!=null){
if(tmp1!=null) {
tmp1=tmp1.next;
lena++;
}
if(tmp2!=null) {
tmp2=tmp2.next;
lenb++;
}
}
tmp1=headA;tmp2=headB;
if(lena>lenb){
int sub=lena-lenb;
while(sub>0){
tmp1=tmp1.next;
sub--;
}
}else{
int sub=lenb-lena;
while(sub>0){
tmp2=tmp2.next;
sub--;
}
}
while(tmp1!=null&&tmp2!=null){
if(tmp1==tmp2){
res=tmp1;
return res;
}
tmp1=tmp1.next;
tmp2=tmp2.next;
}
return res;
}
}
来源:力扣(LeetCode)
链接:https://leetcode-cn.com/problems/intersection-of-two-linked-lists
著作权归领扣网络所有。商业转载请联系官方授权,非商业转载请注明出处。

浙公网安备 33010602011771号