东华大学OJ 基础84
84 求级数的和
作者:
问题描述 :
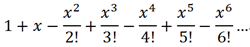
计算以下级数的和:

直到最后一项的绝对值小于10-6(该项不包括在结果中)。
输入说明 :
输入一个实数,代表x。
输出说明 :
输出结果,保留六位小数。整个输出无多余空格。
输入范例 :
输出范例 :
//不要嘲笑我的data_mom 和data_son..........
代码:
#include <stdio.h>
int main()
{
int i = 1;
double x, data_son, data_mom;
scanf("%lf", &x);
double item = x;
double sum = 1;
while(item >= 0.000001){
//第几项
if(i%2 == 0){
sum -= item;
}else{
sum += item;
}
i++;
data_son = 1;
//分子
for(int j = 1; j <= i; j++){
data_son *= x;
}
data_mom = 1;
//分母
for(int j = 1; j <= i; j++){
data_mom *=j;
}
//item
item = data_son/data_mom;
}
printf("%lf\n", sum);
return 0;
}
{
int i = 1;
double x, data_son, data_mom;
scanf("%lf", &x);
double item = x;
double sum = 1;
while(item >= 0.000001){
//第几项
if(i%2 == 0){
sum -= item;
}else{
sum += item;
}
i++;
data_son = 1;
//分子
for(int j = 1; j <= i; j++){
data_son *= x;
}
data_mom = 1;
//分母
for(int j = 1; j <= i; j++){
data_mom *=j;
}
//item
item = data_son/data_mom;
}
printf("%lf\n", sum);
return 0;
}
浙公网安备 33010602011771号