Java顺序结构、选择结构
顺序结构、选择结构
Java顺序结构
Java的基本结构就是顺序结构,除非特别指明,否则就按照顺序一句一句执行。
顺序结构是最简单的算法结构

语句与语句之间,框与框之间是按从上到下的顺序进行的,他是由干个依次执行的处理步骤组成的,他是任何算法都离不开的基本算法结构。
Java选择结构
if单选择结构
我们很多时候判断一个东西是否可行,然后我们才去执行,这样一个过程再程序中用if语句来表示。
语法:if(布尔表达式){//如果布尔表达式为true将执行的语句}
if双选择结构
公司收购一个软件,成功了,给人支付100万,失败了,自己找人开发。
我们需要两个判断一个if就不够用了,我们需要两个判断,一个双选择结构,所以就有了if-else结构。
语法:
if(布尔表达式){
//如果布尔表达式为true将执行的语句
}else{
//如果布尔表达式为false将执行的语句
}
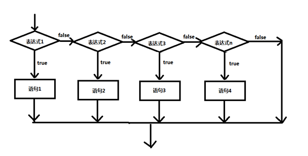
if多选择结构
语法:
if(布尔表达式){
//如果布尔表达式为true将执行的语句
}else if(布尔表达式){
//如果布尔表达式为true将执行的语句
}else if(布尔表达式){
//如果布尔表达式为false将执行的语句
}else{
//如果布尔表达式为false将执行的语句
}

注意事项:
- if语句至多有1个else,else语句在所有的else if语句之后。
- if语句可以有若干个else if语句,他们必须在else if语句之前。
- 一旦其中一个if语句判断为true,其他的else if以及else语句都将跳过执行。
嵌套的if选择结构
使用嵌套的if...else语句是合法的。也就是说你可以在另一个if或者if...else语句中使用if或者if...else语句。
语法:
if(布尔表达式1){
//如果布尔表达式1的值为true 执行代码
if(布尔表达式2){
//如果布尔表达式2的值为true 执行代码
}
}
switch多选择结构
多选择结构还有一种实现方式就是switch case语句
switch case语句判断一个变量与一系列值中某个值是否相等,每个值称为一个分支。
语法:
switch(expression){
case value:
//语 句
break;//可选
case value:
//语句
break;//可选
//可以有任意数量的case语句
default://可选异常
//语句
}
注意事项:
switch语句中的变量类型可以是:
- byte 、short、int或者char
- 从Java SE 7开始,switch支持字符串String类型了
- 同时case标签必须为字符串常量或字面量。

浙公网安备 33010602011771号