5G NR物理资源与小区搜索
终端设备(UE)从开机到入网这段时间都经历了什么?怎么知道在什么频段进行小区搜索?怎么获取小区的资源配置?怎么与基站之间进行通信直至完成各种业务(电话、上网等)?下面从物理层配置进行解读。
先进行物理层相关资源的介绍:
1、Numerologies
在LTE中,带宽配置较小一般5-20Mhz,子载波间隔固定为15khz,在NR模式时,分为FR1和FR2,支持的带宽最大到毫米波的400Mhz,由于要支持多种业务模式(EMBB、URLLC、EMTC),因此子载波的间隔配置不是固定的,在NR中称为Numerologies,具体如下表:
图1、Numerologies
图2、子载波间隔
以15khz为基准,子载波间隔随u值变化,因为不管子载波间隔为多大,每个slot(时隙)固定有14个symbol(符号),所以当子载波间隔越大时,对应的符号时间越小,这有利于对时间敏感的业务,比如URLLC业务。
2、frame和subframe:
上行链路和下行链路的传输都是基于无线帧的概念,无线帧又包含若干的子帧配置,对于normal cp来说,在LTE中,一个无线帧10ms,包含两个半帧(5ms),每个半帧又包含5个子帧,每个子帧包含一个slot(1ms),即subframe=slot=1ms,每个slot固定有14个symbol,但是在NR中由于子帧带宽的不确定,所以一个无线帧包含的子帧数固定为10,但是每个子帧的时隙数随u的取值而变化,即每个子帧包含 个slot,如下图所示:
图3、frame、subframe、slot duration
3、physical resource
先进行一些物理资源的名词解释:
RE(resource element):资源粒子,由频域上一个子载波和时域上一个符号组成;
RB(resource block):资源块,频域上由12个子载波组成,时域上没有定义,因为时域上是变化的;
CRB(Common resource blocks):公共资源块,在频域上从0开始编号,取决于u的配置, =math.floor(K/
,其中K为频域上的子载波总数,分母为每RB的子载波数;
Resource grid:资源格,对于每种参数集和子载波,一个资源格包含
个子载波和
个符号;
BWP(Bandwidth part):部分带宽,由连续公共资源块的子集,最多可同时配置4个,同一时间只能激活1个;
他们在频域上的分布关系如下图:
图4、physical resource
4、physical channel and physical signal
直接上图:
图5、物理信道、物理信号
到此,基本上就把物理层的一些概念讲解清楚了,其中涉及到的一些具体细节,比如信道的生成,参考信号的生成、时频资源分配等后续在进行讲解,本节旨在讲解清楚基本的物理概念和小区搜索下行同步流程,接下来,开始讲解终端开机后的小区下行同步流程。
图6、下行同步过程
1、开机
不同运营商分配不同band,进而可以确定子载波间隔及SSB pattern,搜索GSCN时的步进大小,结合FFT点数UE由此就知道了采样时间间隔和采样频率,结合下表可以确定最小工作带宽,由此就知道需要在哪个频率进行搜索信号,见下表:
图7、SS raster
2、下行搜索同步
先解释一下同步栅格和信道栅格的概念,由于NR信道带宽较大,如果终端在整个频率上进行搜索就会增加终端的功耗,同时延迟同步的时间并且增加终端实现的难度,所以协议针对不同的频率范围设计了不同的同步栅格,同步栅格设计的越大,相应的会减小终端的同步时间,提高搜索效率,增加成功率,具体如下表:
图8、GSCN
信道栅格是RF参考频率的子集,用于标识上下行链路中RF信道位置,其计算如下式:
FREF = FREF-Offs + ΔFGlobal (NREF – NREF-Offs)
图9、global frequency raster
Fref:载波中心频率
Nref:信道号
Fglobal:邻近频率差值
接下来,补充一下SSB的资源配置,如下图:
图12、SSB resource configuration
<1>、 检测PSS,获得时间和频率同步、
(1) 对在搜索过程中检测到的最强SSB波束进行时间偏置进行评估;
(2) 频率偏置校正,UE假设参考PSS中心频率和接收到波形一致;
(3) OFDM解调同步波形并抽取SSB;
PSS采用M序列生成,取值为{0、1、2}
图11、M序列
图13、PSS信号抽取
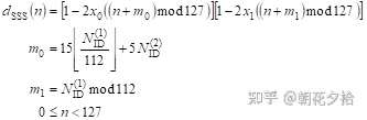
<2>、 得到 之后,检测SSS获取
,SSS生成时需要用到
(1) 通过接收的的资源格和相关的每个SSS可能存在的位置,UE抽取相关的资源粒子;
(2) 通过PSS和SSS组合索引获取PCID,并用于PBCH DM-RS和PBCH过程;
图14、Gold序列
图15、SSS信号抽取
<3>、解出PSS和SSS之后就获得了PCID,即PCID=3 +
<4>、解码PBCH
介绍一下RMSI(最小系统消息),基于NSA组网时,相关的配置信息会通过RRCReconfiguration直接配置给UE,因此不需要终端搜索解码,当基于SA组网时,分为RMSI和ondemand消息,RMSI一部分在PBCH中,一部分在SIB1中。NR PBCH载荷为56bit,高层广播信道(BCCH-BCH)占用24bit,其中包括23bitMIB,PBCH占用32bit(24bit循环冗余校验)。除了SSB时间索引和CRC比特之外,同一个SSB突发集内所有SSB的PBCH是相同的,在此不做算法上的具体解释。
(1) 检测到SSB时,利用SSB和CORESET0的子载波间隔信息,结合载波支持最小带宽,选择对应的CORESET0配置;
(2) 由最小工作带宽及SSB和PDCCH子载波间隔可以确定使用38.213 13-1-----13-10哪一张表,进而可以确定SS/PBCH block and CORESET multiplexing pattern、SSB时频域资源、相对于SSB的offset;
图16、coreset0
(1)由MIB消息高4bit所指示的内容,由pattern和工作频段可以确定使用38.213 13-11---13-14哪一张表,由低4bit索引可以确定每时隙搜索空间数量,O及M值,第一个符号索引,进而可以计算出在偶奇数帧哪个时隙发送,由
确定,0为奇数帧,1为偶数帧;
图17、mib消息
图18、解码工具
图19、NR RF Caculator
主要目的是把物理资源及下行同步流程介绍清楚,先找到一个抓手以便后续进一步研究,欢迎大家批评指正,多多交流,谢谢!
[1]38.211 Physical channels and modulation
[2]38.213Physical layer procedures for control
[3]38.214 Physical layer procedures for data
[4]38.101 User Equipment (UE) radio transmission and reception;Part 1: Range 1 Standalone
[5]38.104 Base Station (BS) radio transmission and reception
[6]matlab decode and sib1 recover
[7]sharetechnote

浙公网安备 33010602011771号