leetcode-algorithms-142 Linked List Cycle II
leetcode-algorithms-142 Linked List Cycle II
Given a linked list, return the node where the cycle begins. If there is no cycle, return null.
To represent a cycle in the given linked list, we use an integer pos which represents the position (0-indexed) in the linked list where tail connects to. If pos is -1, then there is no cycle in the linked list.
Note: Do not modify the linked list.
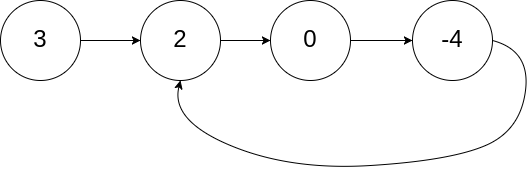
Example 1:
Input: head = [3,2,0,-4], pos = 1
Output: tail connects to node index 1
Explanation: There is a cycle in the linked list, where tail connects to the second node.

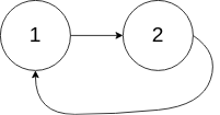
Example 2:
Input: head = [1,2], pos = 0
Output: tail connects to node index 0
Explanation: There is a cycle in the linked list, where tail connects to the first node.

Example 3:
Input: head = [1], pos = -1
Output: no cycle
Explanation: There is no cycle in the linked list.

Follow-up:
Can you solve it without using extra space?
解法
/**
* Definition for singly-linked list.
* struct ListNode {
* int val;
* ListNode *next;
* ListNode(int x) : val(x), next(NULL) {}
* };
*/
class Solution {
public:
ListNode *detectCycle(ListNode *head) {
ListNode *one_step = head;
ListNode *two_step = head;
while(one_step != nullptr && two_step != nullptr) {
one_step = one_step->next;
two_step = (two_step->next == nullptr) ? nullptr : two_step->next->next;
if (two_step == nullptr)
return nullptr;
// found cycle
if (one_step == two_step)
break;
}
two_step = head;
while (one_step != two_step) {
one_step = one_step->next;
two_step = two_step->next;
}
return one_step;
}
};

浙公网安备 33010602011771号