浅解排列与组合
排列
排列(permutation)顾名思义,是指以不同顺序安排多个元素。简单的排列问题有三种形式,下面我们来看第一种。
无限制排列
[例题1.1]小明想选一个5位的车牌号,每一位只能是0 - 5的数字,问他有多少种选择?
这类题目属于较简单的一类,我们知道,车牌号每一位间互不影响,因此每一位都能取到0 - 5中的任意一个数,因此答案是:

像这一类直接用乘方就能解决的,就是最基础的排列问题。我们将这种情况下可能性种数用P表示,它的意思是在m个位置中选择n个元素,它的公式是:

直线排列
我们可以看到,当m或n很大时, 这个数字会变得十分大。因此,人们又会用种种条件去约束它,于是就有了第二种排列。
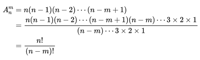
[例题1.2]有6个人想要排成一条5人长的队,问有多少种可能的排列方法?
这道题与例题1.1的区别也很容易看出来——一个人同时只能在一个位置,这意味着队伍的第一个位置可以在6个人中去选,可第二个只能选5个,以此类推……
因此,我们可以很快地看出来,最终结果数是:

这不是个等差数列吗?没错,所以我们也可以利用等差数列公式得出最终的结论。我们将这种情况下的方案数记作A,它的意思是从n个不同元素中不重复的选择m个元素的排列数。

圆排列
下面让我们来看第三种情况
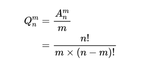
[例题1.3]有6种颜色的珠子,想把他们串成一条5个珠长的项链,请问有多少种穿法?
这种圆排列问题可以将它类比成直线排列来思考。我们可以在珠子的任意的一段上剪开。对于同一条项链,从不同位置剪开会产生5中不同的直线排列。反过来,每五种直线排列,对应的是同一条项链,没有区别。因此,我们需要将直线排列的答案除以5。
所以结果为:


如图所示,任何的圆排列问题都可以使用这种方法去完成,下面是圆排列问题的结论。我们用Q来表示。

组合
组合(combination)是指从n个不同的元素中,任取m个元素为一组。乍听起来很像直线排列,但组合没有对于数字顺序的要求,比直线排列情况更少。
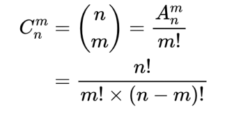
[例题1.4]学校举行抽奖活动,6个人里有5个人能获得同样的奖品,问有多少种获奖的可能情况?
注意,奖品是同样的!这意味着没有了对获奖顺序的排列。为这5个人颁奖有5!种顺序,每一种顺序对于最终的获奖结果没有任何影响,因此我们要将原来的直线排列数去除以颁奖顺序。结果是:

我们根据这个思路也可以得到组合数的公式,C也代表在n个元素中m元子集的个数

除此之外,如果我们想知道6个人中0人中奖、1人中奖、2人中奖……一直到6人中奖的总的情况数,还有这样一个公式:

除此之外,组合数还有很多其他的性质,我们可以依靠它进行更简便的计算,例如:

注:本篇文章为个人原创,部分思路来自网络。有些内容难免会与一些资料有较小的区别,请以实际为准。

对排列组合的一些理解
浙公网安备 33010602011771号