目前常见的权重优化方式
常量初始化
把权值或者偏置初始化为一个常数,具体是什么常数,可以自己定义
positive_unitball初始化
让每一个神经元的输入的权值和为 1,例如:一个神经元有100个输入,让这100个输入的权值和为1. 首先给这100个权值赋值为在(0,1)之间的均匀分布,然后,每一个权值再除以它们的和就可以啦。这么做,可以有助于防止权值初始化过大,从而防止激活函数(sigmoid函数)进入饱和区。所以,它应该比较适合simgmoid形的激活函数
均匀分布初始化
将权值与偏置进行均匀分布的初始化,用min 与 max 来控制它们的的上下限,默认为(0,1)
高斯分布(又名正态分布)

其概率分布图:

在一个标准差内的概率为68.268949%。
1.96个标准差内的概率为95.449974%。
2.58个标准差内的概率为99.730020%。
通过设置mean与var来初始化weight
讲解Xavier和MSRA之前弥补一下方差的基本知识:
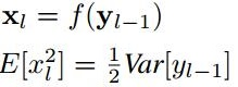
现在我们先来分析一层卷积:

其中ni表示输入个数,已知Xi是独立同分布的,且均值方差已知,此时求输出y的方差.
由独立变量积的方差计算公式可知,

特别的当我们假设输入和权重都是0均值是,上式可以简化为:

进一步假设输入x和权重w独立分布,则有:

因此为使输出y与输入x具有相同的均值和方差,权值矩阵的方差则要求:

为什么要保证输入和输出的方差一致:如果不一致,则会造成方差越来越大(var(y)>var(x)),或是越来越小
为了保证前向传播和反向传播时每一层的方差一致

但是,实际中输入和输出的个数往往不相等,于是为了均衡考虑,最终我们的权重方差应该满足:
(1)
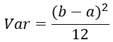
又知道在[a,b]间的均分分布的方差为:
(2)
因此,结合(1)和(2)式知道Xavier初始化的实现就是下面的均匀分布:

主要是想解决的问题是由于进过Relu后,方差会发生变化,因此我们的初始化权值的方法也应该变化。
只考虑输入个数时,MSRA初始化是一个均值为0方差为2/n的高斯分布:

推导证明:
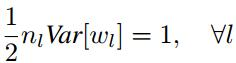
首先,用下式表示第L层卷积:

则其方差为:(假设x和w独立,且各自的每一个元素都同分布,即下式中的n_l表示输入元素个数,x_l和w_l都表示单个元素)
当权重W满足0均值时,上述方差可以进一步写为:
(1)
对于ReLU激活函数,我们有:(其中f是激活函数)
(2)
带入之前的方差公式则有:

由上式易知,为了使每一层数据的方差保持一致,则权重应满足:

补充说明
(1) 对于第一层数据,由于其之前没有经过ReLU,因此理论上这一层的初始化方差应为1/n。但是,因为只有一层,系数差一点影响不大,因此为了简化操作整体都采用2/n的方差;
(2) 反向传播需要考虑的情况完全类似于“Xavier”。对于反向传播,可以同样进行上面的推导,最后的结论依然是方差应为2/n,只不过因为是反向,这里的n不再是输入个数,而是输出个数。文章中说,这两种方法都可以帮助模型收敛。
双线性初始化(bilinear)
常用在反卷积神经网络里的权值初始化
参考:
https://blog.csdn.net/fire_light_/article/details/79556192

浙公网安备 33010602011771号