高中数学公式

和差化积

在这里插入图片描述

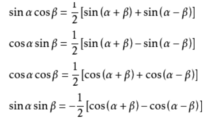
积化和差

在这里插入图片描述

均值不等式

√[(a2+ b2)/2] ≥(a+b)/2 ≥√ab ≥2/(1/a+1/b)
(二次幂平均≥算术平均≥几何平均≥调和平均)

正切余切正割余割

正切:tanx
余切:cotx=1/tanx

在这里插入图片描述

1.常用的万能公式
在这里插入图片描述
二倍角公式
在这里插入图片描述

半角公式

在这里插入图片描述

n次方差公式

注意:后面全是加
在这里插入图片描述

立方和公式

(a+b)(a²-ab+b²)=a³+b³

椭圆 双曲线 抛物线

https://www.sohu.com/a/228368205_372449

posted @ 2022-11-17 23:04  林动  阅读(106)  评论(0)    收藏  举报