leetcode 56,706,119
56.合并区间
补充:1.python sort(key=)
key = func() key可以指定相关的函数作为排序依据
2.lambda 匿名函数,可以不用写函数名的函数
用法:lambda x:x[0]
先将数组通过第一位进行排序,而后比较结果数组中的第二位和for循环数组中的第一位的大小,大就合并,小就将此数组直接放入结果数组中再进行比较
706.设计哈希表映射

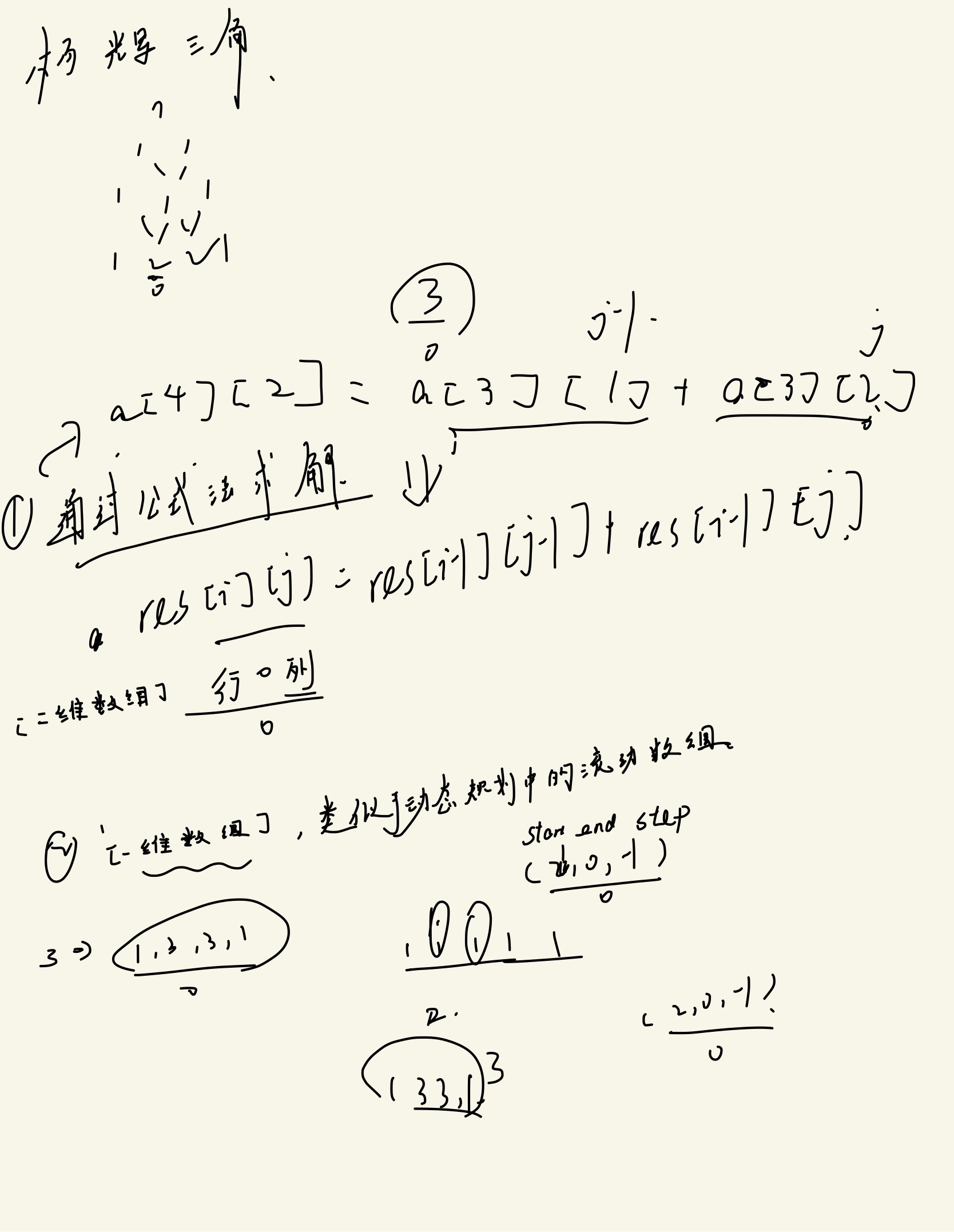
119.杨辉三角 2

补充:1.python sort(key=)
key = func() key可以指定相关的函数作为排序依据
2.lambda 匿名函数,可以不用写函数名的函数
用法:lambda x:x[0]
先将数组通过第一位进行排序,而后比较结果数组中的第二位和for循环数组中的第一位的大小,大就合并,小就将此数组直接放入结果数组中再进行比较

