机器学习随堂笔记(1)
范数:
0范数:
它表示向量非零元素的个数。
1范数:

也就是麦哈顿距离
2范数:

也就是欧式距离
内积(点积、点乘):

外积:
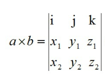
两个向量的外积,又叫向量积、叉乘等。
外积的运算结果是一个向量而不是一个标量。
两个向量的叉积与这两个向量组成的坐标平面垂直。

![]()
其中a×b方向由右手定则确定
范数:
0范数:
它表示向量非零元素的个数。
1范数:

也就是麦哈顿距离
2范数:

也就是欧式距离
内积(点积、点乘):

外积:
两个向量的外积,又叫向量积、叉乘等。
外积的运算结果是一个向量而不是一个标量。
两个向量的叉积与这两个向量组成的坐标平面垂直。

![]()
其中a×b方向由右手定则确定