leetcode_160_相交链表
给你两个单链表的头节点 headA 和 headB ,请你找出并返回两个单链表相交的起始节点。如果两个链表没有交点,返回 null 。
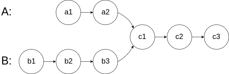
图示两个链表在节点 c1 开始相交:

题目数据 保证 整个链式结构中不存在环。
注意,函数返回结果后,链表必须 保持其原始结构 。
来源:力扣(LeetCode)
链接:https://leetcode-cn.com/problems/intersection-of-two-linked-lists
著作权归领扣网络所有。商业转载请联系官方授权,非商业转载请注明出处。
/** * Definition for singly-linked list. * public class ListNode { * int val; * ListNode next; * ListNode(int x) { * val = x; * next = null; * } * } */ public class Solution { public ListNode getIntersectionNode(ListNode headA, ListNode headB) { //双指针方法: A、B指针分别从AB端出发,到达底端后分别指向另一条链表的头部 //自己写的代码超出时间限制 ListNode A = headA, B = headB; while (A != B) { A = A != null ? A.next : headB; B = B != null ? B.next : headA; } return A; } }

浙公网安备 33010602011771号