可行性分析二
一、项目背景
项目启动的原因:
近年来,随着人们健康意识的提高以及对传统文化的重视,茶叶作为一种健康饮品和文化载体,受到越来越多消费者的喜爱,茶叶市场规模持续扩大。与此同时,互联网技术的飞速发展为传统茶叶销售行业带来了新的营销模式和销售渠道,线上线下融合的新零售模式逐渐成为主流
现代社会的快节奏生活使得消费者更加倾向于便捷、高效、个性化的购物体验。他们希望能够通过简单操作,在一个平台上获取丰富的茶叶产品信息,比较不同品牌、种类的茶叶,并快速完成购买。此外,社交化商业的兴起也让消费者更愿意参考他人的购买评价和推荐,这对茶叶销售企业的口碑营销和客户服务提出了更高的要求
相关领域的现状:
一些茶叶企业已经开发了自己的销售管理系统,但这些系统往往功能单一,主要侧重于订单管理和库存管理,缺乏对客户关系管理、营销推广等方面的全面支持。市场上也有部分通用的销售软件被茶叶企业使用,但这些软件没有充分考虑茶叶行业的特殊需求,如茶叶的分类标准、冲泡方法、品鉴要点等,在实际应用中存在一定的局限性
存在的问题或面临的机遇:
销售渠道分散且缺乏整合
线上线下销售渠道相互独立,无法形成协同效应,导致客户资源浪费,营销成本增加。例如,同一客户在线上和线下可能分别进行购买,企业无法统一管理客户的购买历史和偏好信息。
品质控制与信息不对称
在茶叶销售过程中,无论是线上还是线下,消费者很难直观地了解茶叶的产地、采摘时间、制作工艺等影响品质的关键信息。一些不良商家可能会利用这种信息不对称进行虚假宣传,损害消费者权益。
客户关系管理薄弱
很多茶叶企业没有完善的客户关系管理系统,无法精准地对客户进行分类和营销。例如,不能针对老客户推出个性化的优惠活动和产品推荐,导致客户忠诚度较低。
机遇:
移动互联网与社交电商的兴起
移动互联网的普及让消费者可以随时随地获取茶叶产品信息,社交电商的兴起则为企业提供了新的营销途径。企业可以通过社交媒体平台进行茶叶产品的推广和销售,利用社交关系链进行口碑传播,吸引更多潜在客户。
大数据与智能化技术的应用
利用大数据技术可以对茶叶市场进行深入分析,了解消费者需求、市场趋势等,为企业的产品研发、定价和营销策略提供依据。智能化技术如智能仓储管理、物流配送优化等也可以提高茶叶销售的运营效率。
开发这个项目的原因:
打破传统茶叶销售渠道的限制,将线上线下销售渠道进行有机整合,实现资源共享和协同发展。通过一个统一的系统,企业能够更好地管理客户资源,提供一致的购物体验,提高销售效率。
解决茶叶销售过程中的品质控制和信息不对称问题。借助系统,详细展示茶叶的各类信息,如产地溯源、制作工艺视频等,让消费者能够准确判断茶叶品质,增强消费者的信任。
以及期望达成的总体目标:
优化销售流程
实现茶叶销售从产品信息展示、客户下单、支付、库存管理到物流配送等全流程的信息化和自动化,提高销售效率,减少人为错误。
创造企业价值
通过提高销售效率、增强客户忠诚度、降低营销成本等方式,提升茶叶企业的盈利能力和市场竞争力,扩大企业的市场份额。
填补市场空白
打造一个功能全面、专门针对茶叶行业的销售系统,在满足茶叶企业特殊需求的同时,填补市场上现有销售软件在茶叶销售方面的不足,为茶叶行业的数字化转型提供一个有效的解决方案。
二、用户需求概述
按不同角色分类详细描述用户群体及其需求:
角色 1:爱好喝茶的人
目前买茶通常需要到线下店或者是信任的线上店铺购买,喝茶具有习惯性,喜欢喝茶的人通常会主要购买固定地点产的固定种类的茶叶
对系统的期望是有详细的茶叶产地记录和采摘记录,收集过程高度透明,可以利用筛选快速查找到自己习惯喝的茶叶种类
角色2:卖茶户
目前卖茶户售卖茶叶需要固定的地点售卖,线下店成本高,线上店面发展困难,培养客户难,客户对茶叶行业的信任度低
对系统的期望是软件可以大力推广店面而且希望软件专一售卖茶叶,不要分流导致茶叶售卖困难,希望全过程透明,培养客户信任度,增加固定客户的数量和质量
第1章 可行性分析
1.1可行性分析
我们的小组项目是茶小道,是一款为茶农提供售卖渠道,为客户提供高质量,优秀服务的卖茶软件系统。下面分别从技术可行性、经济可行性、社会可行性以及法律可行性四个方面进行分析。
1.1.1 技术可行性分析
本项目旨在开发一款基于Web的卖茶软件,连接茶农与消费者,提供便捷的茶叶交易平台。软件将采用Javascript、MySQL、Java、Vue3等技术栈实现,并包含以下核心功能:
商品上架与管理,订单管理与发货,虚拟货币与优惠券发放,发布卖茶帖子与互动,浏览与购买茶叶,查看订单与物流信息,积累与使用虚拟货币,领取与使用优惠券,发布买茶帖子与互动,用户管理,,虚拟货币与优惠券系统管理,帖子内容审核与管理。
前端: Vue3框架成熟,生态丰富,能够高效开发用户界面,并提供良好的用户体验。
后端: Java语言稳定可靠,Spring Boot框架简化开发流程,MySQL数据库满足数据存储需求。
其他: 虚拟货币、优惠券、社交互动等功能均有成熟的技术解决方案。
1.1.2 经济可行性分析
人力成本: 小组成员共同的努力,不需要人工成本,对于一些硬件设施,普通计算机就可以完成开发的流程。使用的是开源的软件,也不需要支出额外的费用。
1.1.3 社会可行性分析
随着生活品质的提高,消费者对茶叶的品质和文化内涵有了更高的要求。线上茶叶销售平台能够提供更加便捷、个性化的购物体验,满足消费者对高品质茶叶的需求。
茶农需要更高效的销售渠道来提升销售效率和收入。通过该软件,茶农可以突破地域限制,将茶叶销售到更广泛的市场
该软件不仅是茶叶销售平台,还能通过用户分享和评论功能传播茶文化。茶农和客户可以分享卖茶和买茶的体验,促进茶文化的交流与传承
1.1.4 法律可行性分析
电商法规:软件需要遵守相关法律法规,如《电子商务法》等,确保合法运营。
数据安全:需要保护用户隐私和数据安全,如用户个人信息、交易记录等。
1.2 系统流程分析
1.2.1 系统开发总流程
明确项目背景、目标、范围和预期成果
全面了解用户需求,明确系统功能和非功能需求
根据需求设计系统的架构和模块
将设计转化为可运行的代码
验证系统是否满足需求,确保质量和稳定性
将系统部署到生产环境,正式上线运行
持续优化系统,修复问题,提升用户体验
本系统的开发流程如图3-1所示。
【此处为图】
图1-1系统开发流程图
1.2.2 登录流程
用户登录流程是软件的重要组成部分,确保了用户能够安全地访问并操作系统。如图1-2所示,登录流程遵循以下步骤:
开始登录:用户进入登录页面。
输入用户名和密码:用户填写登录信息。
验证用户名和密码:
如果用户名或密码错误,提示用户并返回登录页面。
如果用户名和密码正确,进入下一步。
检查用户状态:
如果用户被禁用,提示用户并返回登录页面。
如果用户状态正常,进入下一步。
生成会话或Token:系统为用户生成会话信息或Token。
登录成功,跳转到主页:用户成功登录,跳转到系统主页
借助上述流程设计下图
https://img2024.cnblogs.com/blog/3309873/202503/3309873-20250312132214870-1806721865.png
1.2.3 系统操作流程
登录流程:
用户注册与登录
注册:新用户进入在线购物系统首页,点击 “注册” 按钮。填写用户名、密码、手机号码、电子邮箱等信息,阅读并同意用户协议,点击 “注册” 提交信息。系统验证用户名是否已存在,若不存在,将用户信息保存到数据库,注册成功
登录:注册用户或老用户在首页点击 “登录” 按钮,输入用户名和密码,点击 “登录”。系统验证用户身份,成功则进入用户个人中心,失败则提示错误信息
商品浏览
用户在首页通过搜索框输入关键词,或通过商品分类导航栏,浏览感兴趣的商品。点击商品图片或名称,进入商品详情页,查看商品的详细介绍、规格参数、用户评价、价格等信息
商品搜索与筛选
搜索:在搜索框输入商品名称、品牌、型号等关键词,点击搜索按钮,系统展示符合关键词的商品列表
筛选:用户可通过价格区间、品牌、颜色、尺寸等筛选条件,对商品列表进行筛选,缩小查找范围,快速找到心仪商品
添加商品到购物车
在商品详情页,用户选择商品的规格(如颜色、尺码等),输入购买数量,点击 “加入购物车” 按钮。系统将商品信息添加到用户的购物车,并提示添加成功。用户可继续浏览商品或前往购物车结算
购物车操作
查看购物车:用户在个人中心点击 “购物车”,查看已添加商品的列表,包括商品图片、名称、规格、单价、数量、总价等信息
修改商品数量:在购物车中,用户可修改商品的购买数量,点击 “更新” 按钮,系统重新计算总价
删除商品:对于不想购买的商品,用户点击 “删除” 按钮,将商品从购物车中移除
选择商品结算:用户勾选需要购买的商品,点击 “去结算” 按钮,进入订单结算页面
订单结算
收货地址选择 / 添加:在订单结算页面,用户选择已保存的收货地址,若没有合适地址,可点击 “添加新地址”,填写收货人姓名、联系电话、详细地址等信息并保存
配送方式选择:系统展示多种配送方式及对应的运费,用户选择适合的配送方式
支付方式选择:用户选择支付方式,如在线支付(微信支付、支付宝支付、银行卡支付等)、货到付款等。确认订单信息无误后,点击 “提交订单” 按钮
采购流程:
用户打开客户端
输入已分配的用户名和密码,点击 “登录” 按钮
系统验证用户身份,若验证成功,进入系统主界面;若失败,提示错误信息,用户需重新输入
业务模块选择
在系统主界面,展示多个业务模块,如采购管理、销售管理、生产管理、库存管理、财务管理等
用户根据自身工作需求,点击相应的业务模块图标或菜单选项
采购管理流程
采购申请:采购人员进入采购管理模块,点击 “采购申请” 功能。填写采购物品的详细信息,包括名称、规格、数量、预计采购日期、需求部门等,上传相关附件(如有),点击 “提交” 按钮。申请信息进入审批流程
采购审批:审批人员收到采购申请通知,登录系统进入采购审批界面。查看申请详情,可进行批注,若同意则点击 “通过”;若不同意,选择拒绝原因并退回给申请人修改
采购订单创建:采购申请获批后,采购人员依据审批通过的申请创建采购订单。关联申请单号,选择供应商,确认采购物品、价格、交货日期等,生成采购订单编号,点击 “保存并提交”。系统自动发送订单信息给供应商(若系统支持电子数据交换)
采购订单跟踪:采购人员通过订单跟踪功能,查看订单状态(如已发货、运输中、已到货等)。供应商发货后,更新物流单号等信息,方便采购方查询
收货验收:货物到达后,仓库人员进入库存管理模块的收货界面,根据采购订单信息进行收货操作。核对货物数量、质量等,若有差异,记录并反馈给采购人员处理。验收合格后,点击 “确认收货”,系统更新库存数量
购买流程:
用户打开软件:用户在设备上启动软件,进入软件的初始界面,该界面一般会显示 “登录”“注册” 等选项
选择登录选项:用户点击 “登录” 按钮,进入登录页面
输入登录信息:在登录页面,用户需要输入用户名(或手机号、邮箱等)和密码。有的软件还可能会有验证码输入框
点击登录按钮:用户确认输入的信息无误后,点击 “登录” 按钮,系统开始处理登录请求
系统验证信息:
系统首先检查网络连接是否正常。如果网络连接异常,提示用户 “网络连接失败,请检查网络设置”,并结束登录流程
如果网络正常,系统将用户输入的用户名和密码等信息发送到服务器进行验证
服务器在数据库中查找匹配的用户名和密码记录
验证结果判断:
如果用户名和密码匹配正确,且账号状态正常(未被封禁等),服务器返回登录成功的信息。软件跳转到主界面,用户可以开始使用软件的各项功能
如果用户名或密码错误,系统提示用户 “用户名或密码错误,请重新输入”,并返回登录页面,让用户重新输入登录信息
如果账号被封禁,系统提示用户 “账号已被封禁,请联系客服”,并结束登录流程
其他情况(可选):
如果设置了两步验证,在用户名和密码验证通过后,系统会向用户的绑定设备(如手机)发送验证码。用户需要输入收到的验证码进行二次验证
若验证码输入正确,登录成功,进入软件主界面;若验证码输入错误,提示用户 “验证码错误,请重新输入”,用户可以再次输入验证码,若多次输入错误,可能会限制一段时间后才能再次尝试
https://img2024.cnblogs.com/blog/3309873/202503/3309873-20250312132610523-1308760250.png
图1-3系统操作流程图
1.2.4 系统性能分析
由于对于服务器并没有大量的资源投入,访问速度会比较慢
发现CPU使用率过高,可能是某些查询操作耗时过长
使用Redis缓存热点数据,减少数据库访问
定期进行性能测试和监控。
根据用户反馈和系统运行数据调整优化策略。
识别项目实施过程中可能面临的各类风险以及:
技术风险:
功能开发难度高:系统开发过程中可能遇到技术难题,如高并发处理性能瓶颈、移动端适配兼容性问题,若技术选型失误可能导致功能延迟上线。
第三方接口对接问题:支付系统(微信/支付宝)、物流API的稳定性不足,可能导致交易失败或订单信息同步异常。
数据安全风险:用户隐私信息(支付数据、地理位置)泄露或遭受攻击。
需求变更风险:
用户需求理解偏差:初期调研未覆盖小众茶类偏好(如冷泡茶、养生茶),导致功能迭代频繁。
市场竞品功能冲击:若头部电商平台新增茶叶垂直板块,需临时调整产品差异化策略。
人力资源风险:
开发团队经验不足:缺乏电商平台开发经验导致代码冗余、性能瓶颈。
茶行业专家流失:负责茶叶质量分级、审核的专家合作中断,影响选品专业性和产品质量。
外部因素风险:
政策法规变动:农产品电商资质审核标准升级。
* 供应链不稳定:合作茶农因自然灾害减产,导致货源短缺或质量波动。
* 第三方服务商违约:云服务器供应商宕机、CDN服务延迟影响用户体验。
针对每种风险制定具体应对策略:
技术风险应对:
组建技术专家团队,提前进行技术调研与预研,针对可能出现的技术问题制定多种解决方案;引入成熟的开源框架与组件,降低技术开发难度;与第三方技术支持团队保持密切合作,及时解决对接难题。
需求变更风险应对:
在需求调研阶段与用户充分沟通,确保需求理解准确、全面;建立严格的需求变更管理流程,对变更需求进行评估、审批,合理调整项目计划与资源分配,确保变更可控。
人力资源风险应对:关键岗位备份、加强团队建设、建立激励机制、开展培训提升技能等。不定时开展茶文化、电商运营专项培训,邀请茶叶协会专家授课。
外部因素风险应对:关注政策法规动态、建立市场监测机制、与第三方签订严谨合同、提前规划替代方案等。

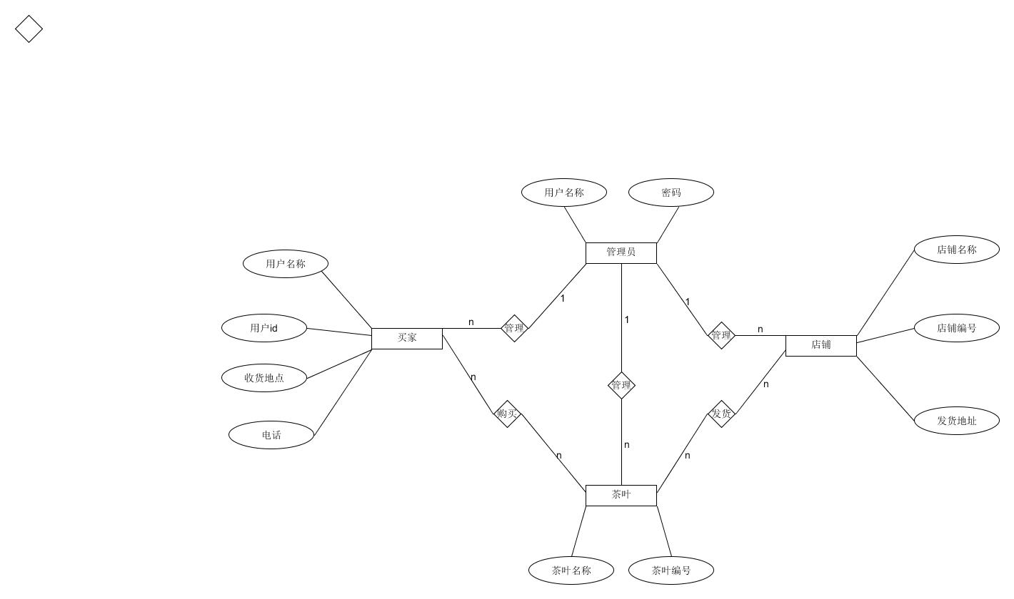
管理员:主键(用户名称) 密码
店铺:主键 (店铺编号) 店铺名称,店铺地址
茶叶:主键(茶叶编号) 茶叶名称
买家:主键(用户ID) 用户名称,收货地点,电话
浙公网安备 33010602011771号