贪心

货仓选址问题:

AcWing 104. 货仓选址 - AcWing

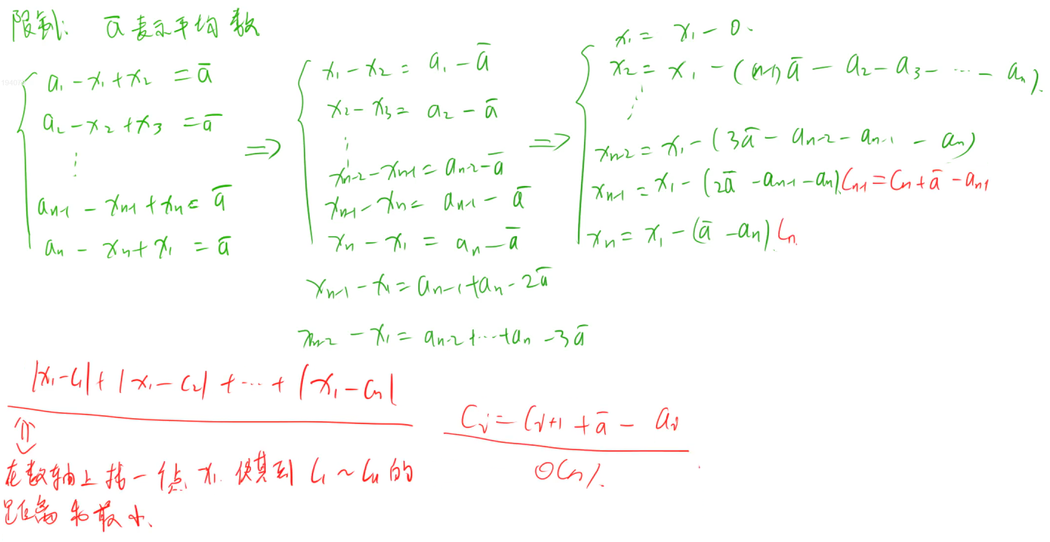
 传递糖果:

AcWing 122. 糖果传递 - AcWing

雷达设备

 112. 雷达设备 - AcWing题库

 

posted on 2023-03-29 14:36  玛卡巴卡要ac  阅读(24)  评论(0)    收藏  举报

导航