第六章学习小结——图
一、知识框架

二
1、用一维数组G[]存储有4个顶点的无向图如下:
G[] = { 0, 1, 0, 1, 1, 0, 0, 0, 1, 0 }
则顶点2和顶点0之间是有边的。
可以先将数组还原成邻接矩阵,因为是无向图,所以可只画一半

就容易看出。
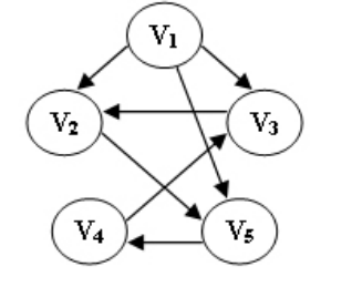
2、

深度优先搜索序列:V1,V2,V5,V4,V3等
广度优先搜索序列:V1,V2,V3,V5,V4等
3、
作业题列出连通集BFS和DFS前都要将visited[]数组重先赋值,我学到了memset()函数
void *memset(void *s, int ch, size_t n);
函数解释:将s中当前位置后面的n个字节 (typedef unsigned int size_t )用 ch 替换并返回 s 。
memset:作用是在一段内存块中填充某个给定的值,它是对较大的结构体或数组进行清零操作的一种最快方法 。
https://baike.so.com/doc/5005984-5230782.html
4、
最小生成树(包含所有顶点,不构成回路,使权值之和最小,不一定唯一)
prim算法(归并顶点,适用稠密网);Kruskal算法(归并边,适用稀疏网);
三、
接下来学好第七章内容,也要复习回顾前几章内容,准备期末考。
浙公网安备 33010602011771号