CF590C Three States(01 BFS)
Description
给定一个
n
×
m
n \times m
n×m 的地图,. 为荒地,#为石头,数字为国家。有三个国家,求至少将多少荒地修为路才能让三个国家联通,路可以免费在国家中修。如果没有方案回答
−
1
-1
−1。
Solution
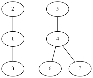
转换一下,在国家外部走有代价,在内部无代价,有的点可能是一个枢纽。

可以发现,两个图的枢纽分别为
1
1
1 和
4
4
4。
以 1 1 1 为枢纽,那么有三个点,这三个点一定都是国家,那么没有花费。但是以 4 4 4 为枢纽,这个 4 4 4 一定不是国家,所以有花费。而且,另外三个点都要经过枢纽,这意味着多算了两次,那么要减去二。
因为有的路是免费的,可以想到 deque 的 01 BFS,那么分别从三个国家跑最短路,枚举枢纽别忘了减二的情况即可。
Code
#include<bits/stdc++.h>
using namespace std;
#define int long long
typedef pair<int, int> P;
#define F first
#define S second
const int N = 1000 + 5, INF = 0x3f3f3f3f;
char maze[N][N];
int dist[N][N][4], n, m;
int fx[4] = {1, -1, 0, 0}, fy[4] = {0, 0, 1, -1};
deque<P> q;
void bfs(int country) {
for (int i = 1; i <= n; i++)
for (int j = 1; j <= m; j++)
if (maze[i][j] == country + '0') {
dist[i][j][country] = 0;
q.push_back(P(i, j));
}
while (!q.empty()) {
P p = q.front(); q.pop_front();
int x = p.F, y = p.S;
for (int d = 0; d < 4; d++) {
int nx = x + fx[d], ny = y + fy[d];
if (nx >= 1 && nx <= n && ny >= 1 && ny <= m && maze[nx][ny] != '#' && dist[nx][ny][country] == INF) {
int cost = maze[nx][ny] == '.';
dist[nx][ny][country] = dist[x][y][country] + cost;
if (cost) q.push_back(P(nx, ny));
else q.push_front(P(nx, ny));
}
}
}
}
signed main() {
scanf("%lld%lld", &n, &m);
for (int i = 1; i <= n; i++) scanf("%s", maze[i] + 1);
for (int i = 1; i <= n; i++)
for (int j = 1; j <= m; j++)
for (int k = 1; k <= 3; k++)
dist[i][j][k] = INF;
bfs(1); bfs(2); bfs(3);
int minn = INF;
for (int i = 1; i <= n; i++)
for (int j = 1; j <= m; j++) {
int cost = dist[i][j][1] + dist[i][j][2] + dist[i][j][3];
if (maze[i][j] == '.') cost -= 2;
minn = min(minn, cost);
}
if (minn == INF) puts("-1");
else printf("%lld\n", minn);
return 0;
}

浙公网安备 33010602011771号