算法第五章作业
1.回溯法
回溯法,又称“通用的解题法”。
它把有可能是问题的答案的“候选解”以解空间树的方式一一列举出来,对该解空间树进行深度优先遍历,从而遍历后得到一个该问题的合适解。该算法一般适用于解一些组合数相当大的问题。
其实这种把所有解都列出来然后一个一个测试的方法,时间复杂度很高,但若加上限界函数和约束条件,使得算法在不满足条件时不去遍历后面的结点,可大大提高算法的效率。
2.“子集和”问题的解空间结构和约束函数
解空间也就是进行穷举的搜索空间。
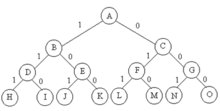
以0-1背包为例:其解空间结构如下

约束函数:约束函数是根据题意定出的。通过描述合法解的一般特征用于去除不合法的解,从而避免继续搜索出这个不合法解的剩余部分。
3.说明在本章学习过程中遇到的问题及结对编程的情况
对回溯法中的递归不理解

浙公网安备 33010602011771号