会员
众包
新闻
博问
闪存
赞助商
HarmonyOS
Chat2DB
所有博客
当前博客
我的博客
我的园子
账号设置
会员中心
简洁模式
...
退出登录
注册
登录
川流不息
不积跬步无以至千里,不积小流无以成江河
博客园
首页
联系
订阅
管理
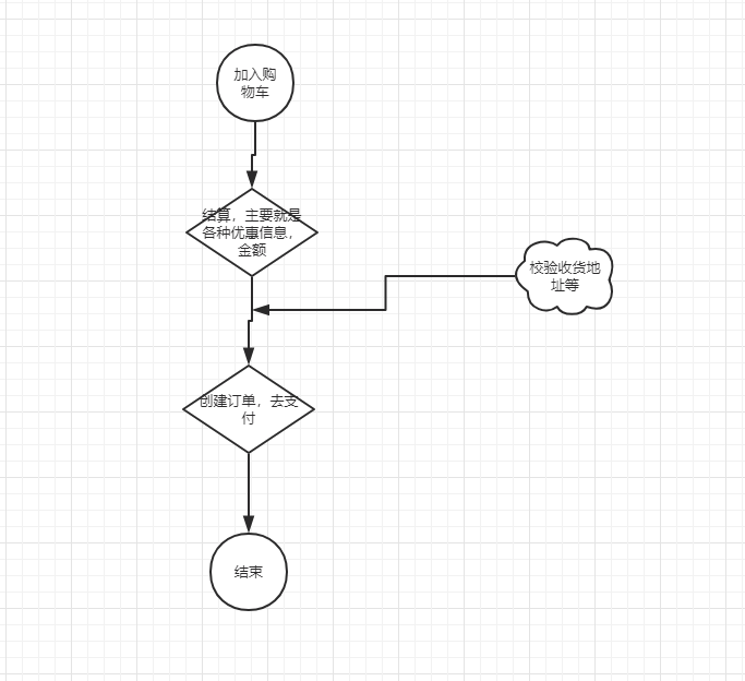
订单大体流程梳理
总结:话不多说来张图。
大体整理一下,不全
elk
posted @
2019-11-08 11:41
川流不息&
阅读(
474
) 评论(
0
)
收藏
举报
刷新页面
返回顶部
公告