python第二周作业——财政收入影响因素分析及预测
import numpy as np import pandas as pd inputfile = 'C://Users//Administrator//Desktop//data.csv' # 输入的数据文件 data = pd.read_csv(inputfile) # 读取数据 # 描述性统计分析 description = [data.min(), data.max(), data.mean(), data.std()] # 依次计算最小值、最大值、均值、标准差 description = pd.DataFrame(description, index = ['Min', 'Max', 'Mean', 'STD']).T # 将结果存入数据框 print('描述性统计结果:\n',np.round(description, 2)) # 保留两位小数 # 代码6-2 # 相关性分析 corr = data.corr(method = 'pearson') # 计算相关系数矩阵 print('相关系数矩阵为:\n',np.round(corr, 2)) # 保留两位小数 # 代码6-3 # 绘制热力图 import matplotlib.pyplot as plt import seaborn as sns plt.subplots(figsize=(10, 10)) # 设置画面大小 sns.heatmap(corr, annot=True, vmax=1, square=True, cmap="Blues") plt.title('相关性热力图 3025') plt.show() plt.close

import numpy as np import pandas as pd from sklearn.linear_model import Lasso inputfile ='C://Users//Administrator//Desktop//data.csv' data = pd.read_csv(inputfile) lasso = Lasso(1000) lasso.fit(data.iloc[:,0:13],data['y'])
print('林欣语 3025') print('相关系数为:',np.round(lasso.coef_,5)) print('相关非零个数为:',np.sum(lasso.coef_ != 0)) mask =lasso.coef_ != 0 print('相关系数是否为零:',mask) mask = np.append(mask,True) print('相关系数是否为零:',mask) outputfile ='C://Users//Administrator//Desktop//tmp//new_reg_data3.csv' new_reg_data = data.iloc[:,mask] new_reg_data.to_csv(outputfile) print('输出数据的维度为:',new_reg_data.shape)


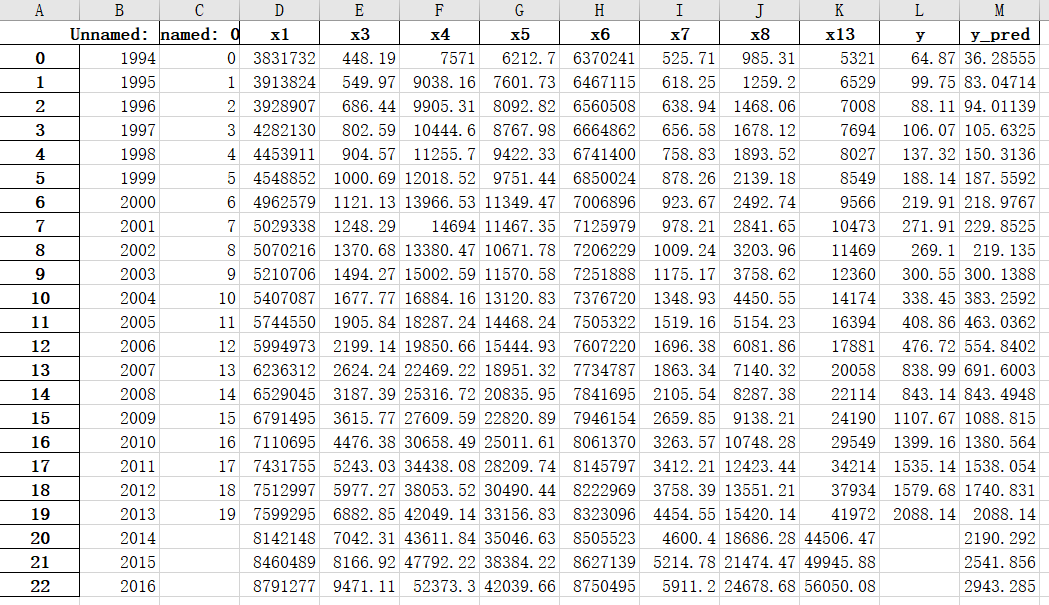
import sys sys.path.append('../code') # 设置路径 import numpy as np import pandas as pd from GM11 import GM11 # 引入自编的灰色预测函数 inputfile1 = 'C://Users//Administrator//Desktop//tmp//new_reg_data3.csv' # 输入的数据文件 inputfile2 = 'C://Users//Administrator//Desktop//data.csv' # 输入的数据文件 new_reg_data = pd.read_csv(inputfile1) # 读取经过特征选择后的数据 data = pd.read_csv(inputfile2) # 读取总的数据 new_reg_data.index = range(1994, 2014) new_reg_data.loc[2014] = None new_reg_data.loc[2015] = None new_reg_data.loc[2016] = None l = ['x1', 'x3', 'x4', 'x5', 'x6', 'x7', 'x8', 'x13'] for i in l: f = GM11(new_reg_data.loc[range(1994, 2014),i].to_numpy())[0] new_reg_data.loc[2014,i] = f(len(new_reg_data)-2) # 2014年预测结果 new_reg_data.loc[2015,i] = f(len(new_reg_data)-1) # 2015年预测结果 new_reg_data.loc[2016,i] = f(len(new_reg_data)) # 2016年预测结果 new_reg_data[i] = new_reg_data[i].round(2) # 保留两位小数 outputfile = 'C://Users//Administrator//Desktop//te//new_reg_data_GM22.xls' # 灰色预测后保存的路径 y = list(data['y'].values) # 提取财政收入列,合并至新数据框中 y.extend([np.nan,np.nan,np.nan]) new_reg_data['y'] = y new_reg_data.to_excel(outputfile) # 结果输出 print('预测结果为:\n',new_reg_data.loc[2014:2016,:]) # 预测结果展示 import matplotlib.pyplot as plt from sklearn.svm import LinearSVR inputfile = 'C://Users//Administrator//Desktop//te//new_reg_data_GM22.xls' # 灰色预测后保存的路径 data = pd.read_excel(inputfile) # 读取数据 feature = ['x1', 'x3', 'x4', 'x5', 'x6', 'x7', 'x8', 'x13'] # 属性所在列 data_train = data.iloc[0:20,:].copy() # 取2014年前的数据建模 data_mean = data_train.mean() data_std = data_train.std() data_train = (data_train - data_mean)/data_std # 数据标准化 x_train = data_train[feature].to_numpy() # 属性数据 y_train = data_train['y'].to_numpy() # 标签数据 linearsvr = LinearSVR() # 调用LinearSVR()函数 linearsvr.fit(x_train,y_train) x = ((data[feature] - data_mean[feature])/data_std[feature]).to_numpy() # 预测,并还原结果。 data['y_pred'] = linearsvr.predict(x) * data_std['y'] + data_mean['y'] outputfile = '../te/new_reg_data_GM22_revenue.xls' # SVR预测后保存的结果 data.to_excel(outputfile) print('真实值与预测值分别为:\n',data[['y','y_pred']]) fig = data[['y','y_pred']].plot(subplots = True, style=['b-o','r-*']) # 画出预测结果图 plt.title('财政收入真实值与预测值对比图--number-3025') plt.show()




浙公网安备 33010602011771号