基于AI目标检测模型的暴力持刀行凶预警系统是当下保障人民生命安全的新途径,近年来,公众场合下的暴力袭击事件频发,不仅给受害者及其家庭带来了深重的伤害,也对社会的稳定和安全造成了极大的威胁。在此种背景下,如何有效预防和减少这类事件的发生,成为了摆在我们面前的关键课题。随着人工智能技能的不断发展,基于AI目标检测模型的科技手段为解决这一困难给予了新的思路。AI目标检测模型是一种能够自动识别和定位图像或视频中特定目标的技术。通过训练大量的数据样本,模型可以学会识别各种物体和场景,包括人的姿态、动作以及所持物品等。在暴力持刀行凶预警系统中,我们可以利用这种科技来实时监测公共场所的监控视频,一旦发现有人持有刀具或其他危险物品,并表现出异常行为,系统便能立即发出预警,提醒相关人员及时采取措施。相比于传统的纯人工盯防的低效方式不仅成本高而且容易出现纰漏,基于人工智能的检测手段能够全天候无休止的自动化检测计算,倘若能够有充足的高质量的数据进行训练学习能够达到十分出色的性能,基于AI目标检测模型的暴力持刀行凶预警系统是一种具有广阔应用前景的科技手段,对于保障人民的生命安全和社会的稳定发展有着积极主要的意义,本文正是建立在这样的问题背景上进行深度思考,从实验性质的制作实践出发,来实际探索基于目标检测模型进行危险异常事件检测预警的可行性。
在前面的博文中,我们已经进行了相关的创建实践,感兴趣的话可以自行移步阅读即可:
《助力突发异常事件预警保障公共安全,基于YOLOv5全系列【n/s/m/l/x】参数模型开发构建公共生活场景下危险人员持刀行凶异常突发事件检测预警识别系统》
《助力突发异常事件预警保障公共安全,基于YOLOv7【tiny/l/x】模型开发构建公共生活场景下危险人员持刀行凶异常突发事件检测预警识别系统》
《助力突发异常事件预警保障公共安全,基于YOLOv8全系列【n/s/m/l/x】参数模型开发构建公共生活场景下危险人员持刀行凶异常突发事件检测预警识别系统》
《助力突发异常事件预警保障公共安全,基于YOLO家族最新端到端实时算法YOLOv10全系列【n/s/m/b/l/x】参数模型开发构建公共生活场景下危险人员持刀行凶异常突发事件检测预警识别系统》
《助力突发异常事件预警保障公共安全,基于YOLOv11全系列【n/s/m/l/x】参数模型开发构建公共生活场景下危险人员持刀行凶异常突发事件检测预警识别系统》
本文主要是想要基于YOLOv12全系列的模型来进行相应的制作实践,最初看下实例效果:

接下来看下实例素材情况:


YOLO系列最近的迭代速度不可谓不快,可能感觉YOLOv11都还没有推出多久,YOLOv12就这么水灵灵地来了,下面是对YOLOv12论文的阅读记录,感兴趣的话可以自行移步阅读即可:
官方发布的预训练权重如下:
Turbo (default):
| Model (det) | size (pixels) | mAPval 50-95 | Speed (ms) T4 TensorRT10 | params (M) | FLOPs (G) |
|---|---|---|---|---|---|
| YOLO12n | 640 | 40.4 | 1.60 | 2.5 | 6.0 |
| YOLO12s | 640 | 47.6 | 2.42 | 9.1 | 19.4 |
| YOLO12m | 640 | 52.5 | 4.27 | 19.6 | 59.8 |
| YOLO12l | 640 | 53.8 | 5.83 | 26.5 | 82.4 |
| YOLO12x | 640 | 55.4 | 10.38 | 59.3 | 184.6 |
v1.0:
| Model (det) | size (pixels) | mAPval 50-95 | Speed (ms) T4 TensorRT10 | params (M) | FLOPs (G) |
|---|---|---|---|---|---|
| YOLO12n | 640 | 40.6 | 1.64 | 2.6 | 6.5 |
| YOLO12s | 640 | 48.0 | 2.61 | 9.3 | 21.4 |
| YOLO12m | 640 | 52.5 | 4.86 | 20.2 | 67.5 |
| YOLO12l | 640 | 53.7 | 6.77 | 26.4 | 88.9 |
| YOLO12x | 640 | 55.2 | 11.79 | 59.1 | 199.0 |
| Model (seg) | size (pixels) | mAPbox 50-95 | mAPmask 50-95 | Speed (ms) T4 TensorRT10 | params (M) | FLOPs (G) |
|---|---|---|---|---|---|---|
| YOLOv12n-seg | 640 | 39.9 | 32.8 | 1.84 | 2.8 | 9.9 |
| YOLOv12s-seg | 640 | 47.5 | 38.6 | 2.84 | 9.8 | 33.4 |
| YOLOv12m-seg | 640 | 52.4 | 42.3 | 6.27 | 21.9 | 115.1 |
| YOLOv12l-seg | 640 | 54.0 | 43.2 | 7.61 | 28.8 | 137.7 |
| YOLOv12x-seg | 640 | 55.2 | 44.2 | 15.43 | 64.5 | 308.7 |
| Model (cls) | size (pixels) | Acc. top-1 | Acc. top-5 | Speed (ms) T4 TensorRT10 | params (M) | FLOPs (G) |
|---|---|---|---|---|---|---|
| YOLOv12n-cls | 224 | 71.7 | 90.5 | 1.27 | 2.9 | 0.5 |
| YOLOv12s-cls | 224 | 76.4 | 93.3 | 1.52 | 7.2 | 1.5 |
| YOLOv12m-cls | 224 | 78.8 | 94.4 | 2.03 | 12.7 | 4.5 |
| YOLOv12l-cls | 224 | 79.5 | 94.5 | 2.73 | 16.8 | 6.2 |
| YOLOv12x-cls | 224 | 80.1 | 95.3 | 3.64 | 35.5 | 13.7 |
一共提供了n、s、m、l和x五款不同参数量级的模型。
这里我们保持完全相同的实验参数设置来进行四款模型的制作训练,等待训练做完之后我们来整体进行各项指标的对比分析。
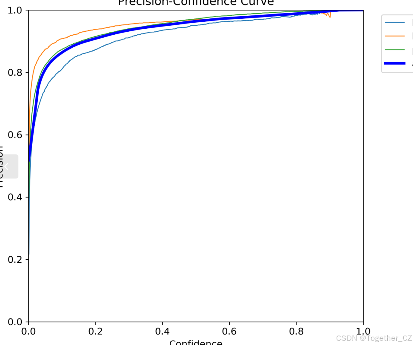
【Precision曲线】
一种用于评估二分类模型在不同阈值下的精确率性能的可视化工具。它通过绘制不同阈值下的精确率和召回率之间的关系图来帮助我们了解模型在不同阈值下的表现。就是精确率曲线(Precision Curve)
精确率(Precision)是指被正确预测为正例的样本数占所有预测为正例的样本数的比例。召回率(Recall)是指被正确预测为正例的样本数占所有实际为正例的样本数的比例。
绘制精确率曲线的步骤如下:
使用不同的阈值将预测概率转换为二进制类别标签。通常,当预测概率大于阈值时,样本被分类为正例,否则分类为负例。
对于每个阈值,计算相应的精确率和召回率。
将每个阈值下的精确率和召回率绘制在同一个图表上,形成精确率曲线。
根据精确率曲线的形状和变化趋势,许可选择适当的阈值以达到所需的性能要求。
通过观察精确率曲线,我们允许根据需求确定最佳的阈值,以平衡精确率和召回率。较高的精确率意味着较少的误报,而较高的召回率则表示较少的漏报。根据具体的业务需求和成本权衡,能够在曲线上选择合适的执行点或阈值。
精确率曲线通常与召回率曲线(Recall Curve)一起利用,以提供更全面的分类器性能分析,并帮助评估和比较不同模型的性能。

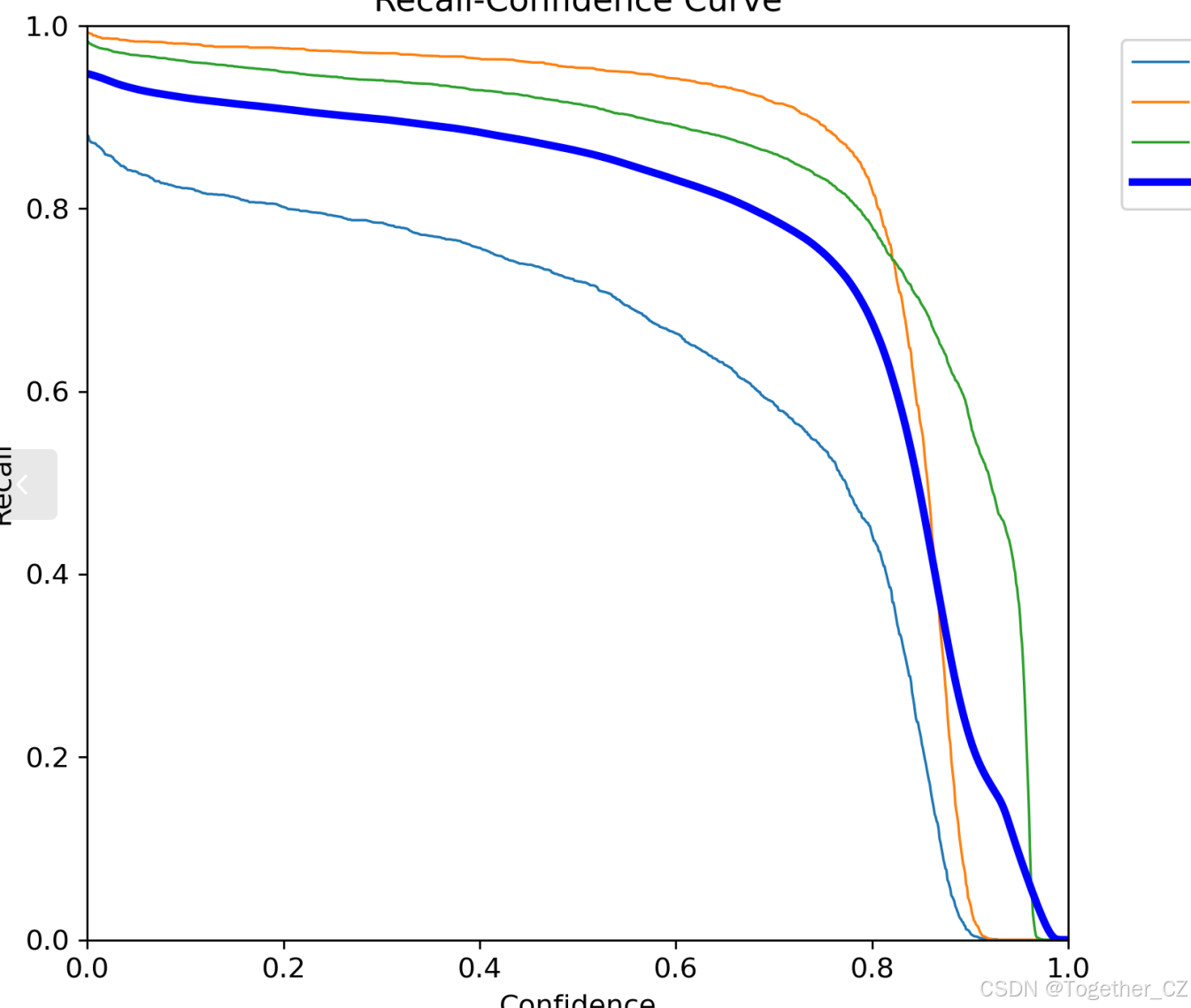
【Recall曲线】
召回率曲线(Recall Curve)是一种用于评估二分类模型在不同阈值下的召回率性能的可视化工具。它通过绘制不同阈值下的召回率和对应的精确率之间的关系图来帮助我们了解模型在不同阈值下的表现。
召回率(Recall)是指被正确预测为正例的样本数占所有实际为正例的样本数的比例。召回率也被称为灵敏度(Sensitivity)或真正例率(True Positive Rate)。
绘制召回率曲线的步骤如下:
使用不同的阈值将预测概率转换为二进制类别标签。通常,当预测概率大于阈值时,样本被分类为正例,否则分类为负例。
对于每个阈值,计算相应的召回率和对应的精确率。
将每个阈值下的召回率和精确率绘制在同一个图表上,形成召回率曲线。
根据召回率曲线的形状和变化趋势,可以选择适当的阈值以达到所需的性能要求。
通过观察召回率曲线,我们能够根据需求确定最佳的阈值,以平衡召回率和精确率。较高的召回率表示较少的漏报,而较高的精确率意味着较少的误报。根据具体的业务需求和成本权衡,可以在曲线上选择合适的管理点或阈值。
召回率曲线通常与精确率曲线(Precision Curve)一起使用,以献出更全面的分类器性能分析,并帮助评估和比较不同模型的性能。

【mAP0.5】
一个用于衡量预测边界框与真实边界框之间重叠程度的指标,其值范围在0到1之间。当IoU值为0.5时,意味着预测框与真实框至少有50%的重叠部分。就是mAP0.5,也被称为mAP@0.5或AP50,指的是当Intersection over Union(IoU)阈值为0.5时的平均精度(mean Average Precision)。IoU
在计算mAP0.5时,首先会为每个类别计算所有图片的AP(Average Precision),然后将所有类别的AP值求平均,得到mAP0.5。AP是Precision-Recall Curve曲线下面的面积,这个面积越大,说明AP的值越大,类别的检测精度就越高。
mAP0.5主要关注模型在IoU阈值为0.5时的性能,当mAP0.5的值很高时,说明算法能够准确检测到物体的位置,并且将其与真实标注框的IoU值超过了阈值0.5。

【mAP0.5:0.95】
mAP0.5:0.95,也被称为mAP@[0.5:0.95]或AP@[0.5:0.95],表示在IoU阈值从0.5到0.95变化时,取各个阈值对应的mAP的平均值。具体来说,它会在IoU阈值从0.5开始,以0.05为步长,逐步增加到0.95,并在每个阈值下计算mAP,然后将这些mAP值求平均。
通过这个指标考虑了多个IoU阈值下的平均精度,从而更全面、更准确地评估模型性能。当mAP0.5:0.95的值很高时,说明算法在不同阈值下的检测结果均非常准确,覆盖面广,能够适应不同的场景和应用需求。
对于一些需求比较高的场合,比如安全监控等领域,需要保证高的准确率和召回率,这时mAP0.5:0.95可能更适合作为模型的评价标准。
综上所述,mAP0.5和mAP0.5:0.95都是用于评估目标检测模型性能的重要指标,但它们的关注点有所不同。mAP0.5关键关注模型在IoU阈值为0.5时的性能,而mAP0.5:0.95则考虑了多个IoU阈值下的平均精度,从而更全面、更准确地评估模型性能。

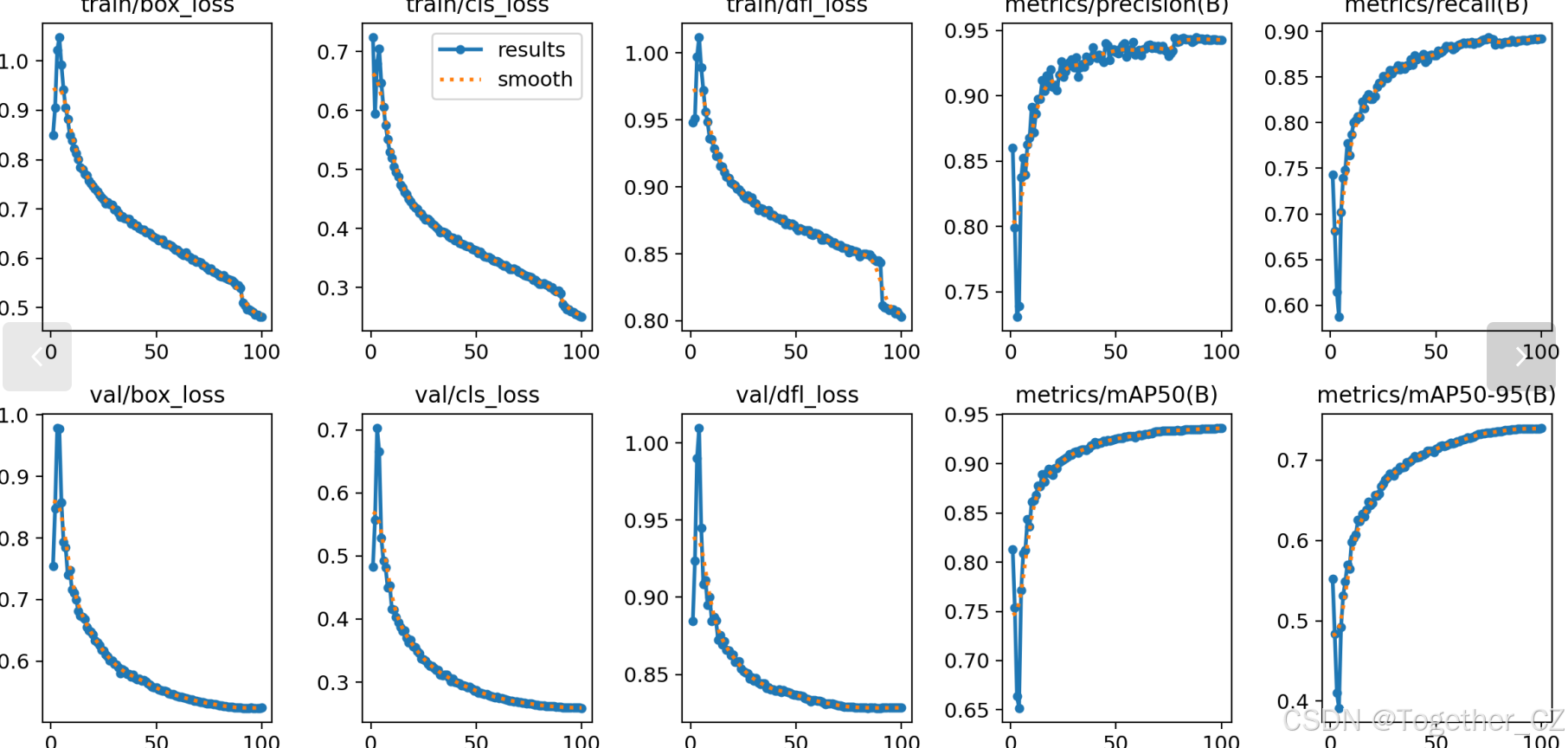
【loss曲线】
通过记录每个epoch(或者迭代步数)的loss值,并将其以图形化的方式展现出来,以便我们更好地理解和分析模型的训练过程。就是在深度学习的训练过程中,loss函数用于衡量模型预测结果与实际标签之间的差异。loss曲线则

【F1值曲线】
F1值曲线是一种用于评估二分类模型在不同阈值下的性能的可视化工具。它通过绘制不同阈值下的精确率(Precision)、召回率(Recall)和F1分数的关系图来援助大家理解模型的整体性能。
通过F1分数是精确率和召回率的调和平均值,它综合考虑了两者的性能指标。F1值曲线能够帮助我们确定在不同精确率和召回率之间找到一个平衡点,以选择最佳的阈值。
绘制F1值曲线的步骤如下:
使用不同的阈值将预测概率转换为二进制类别标签。通常,当预测概率大于阈值时,样本被分类为正例,否则分类为负例。
对于每个阈值,计算相应的精确率、召回率和F1分数。
将每个阈值下的精确率、召回率和F1分数绘制在同一个图表上,形成F1值曲线。
通过根据F1值曲线的形状和变化趋势,能够选择适当的阈值以达到所需的性能要求。
F1值曲线通常与接收者执行特征曲线(ROC曲线)一起使用,以帮助评估和比较不同模型的性能。它们供应了更全面的分类器性能分析,可以根据具体应用场景来选择合适的模型和阈值设置。

整体对比分析来看:不难发现五款不同参数量级的模型最终达到了较为相似的结果,没有拉开十分大的差距,这里综合参数量考虑我们最终选定了m系列的模型来作为线上的推理计算模型。
接下来看下m系列模型的详细情况。
【离线推理实例】

【Batch实例】

【混淆矩阵】

【F1值曲线】

【Precision曲线】

【PR曲线】

【Recall曲线】

【训练可视化】

通过感兴趣的话也都能够自行实践下!
浙公网安备 33010602011771号