作业三----综合系统开发----需求分析
| 这个作业属于哪个课程 | 软件代码开发技术 |
|---|---|
| 这个作业要求在哪里 | 作业要求 |
| 这个作业的目标 | 综合系统开发----需求分析 |
一.项目背景
一家公司提供服务出租,自身有一些员工,另外还有很多自由职业者作为服务商存在。公司目前使用Excel工作表来管理他们的客户(自由职业者),时间表等。Excel解决方案无法很好地进行扩展。它无法应对多用户使用的场景,也不提供安全和审计日志。因此他们决定构建一个新的基于Web的解决方案。以下是核心要求:
- 搜索自由职业者分类的功能
- 用于存储联系自由职业者的不同渠道的解决方案
- 搜索项目分类的功能
- 搜索客户分类的功能
- 维护合同中自由职业者的时间表
二.功能需求
| 对象 | 需求 |
|---|---|
| 员工 | 管理用户 |
| 维护时间表 | |
| 审计 | |
| 自由职业者 | 编辑个人信息 |
| 注册 | |
| 接受项目 | |
| 编辑时间表 | |
| 提交项目进度 | |
| 客户 | 发布项目需求 |
| 查找服务商信息 | |
| 注册 | |
| 编辑项目信息 |
三.用例图

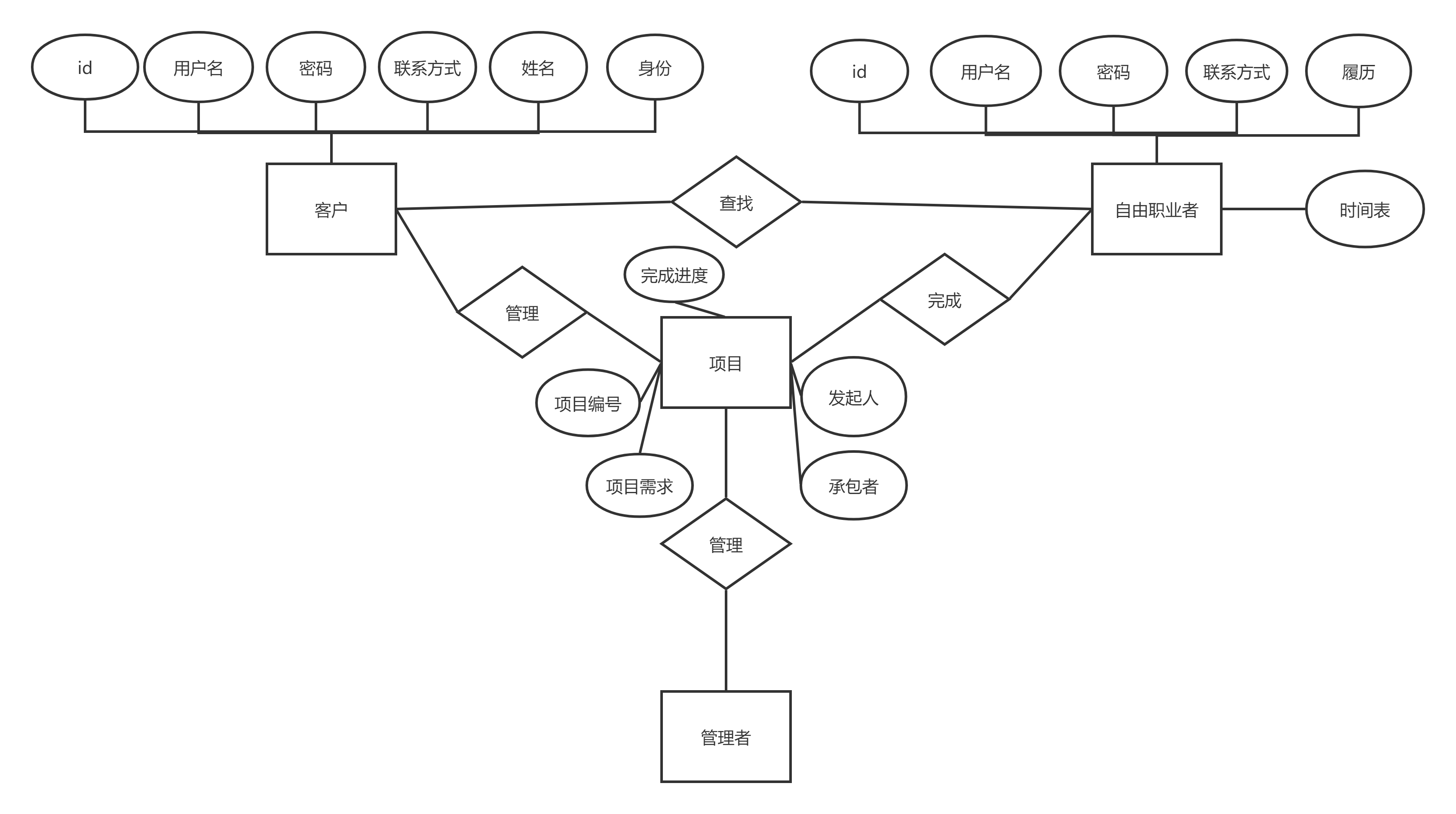
四.ER图

五.项目结构图

六.非功能需求
6.1 界面需求
- 具有清晰易懂的界面
- 具有良好的操作指引
- 具有多语言支持
6.2 性能需求
- 系统流畅,不卡顿,支持高并发
- 具有良好的兼容性
- 请求响应时间低于1ms
七.时间安排
| 项目阶段 | 预计工作日(天) | 矫正工作日(天) |
|---|---|---|
| 可行性研究 | 3 | 4 |
| 需求分析 | 4 | 6 |
| 概要设计 | 3 | 5 |
| 详细设计 | 7 | 10 |
| 实现 | 15 | 19 |
| 测试 | 5 | 7 |
八.截图
github仓库链接:仓库
GitHub截图

编辑界面截图


浙公网安备 33010602011771号