卷积的理解
1.从输入信号理解:

将输入信号分解为不同加权系数的单位冲激信号x(m)δ(t-m),对h(n)加权x(m)并延时m:

2.从系统理解

从流水来看,n时刻的输出不仅和n时刻的输入有关,还和之前的输入有关,每个不同时刻的输入对n时刻的输出的影响是不一样的,由系统h(m)加权。
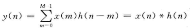
- 卷积的边界效应:若系统h(n)的长度为M,系统的n时刻输出y(n)和M个时刻的输入(当前时刻的输入x(n)及之前的M-1个输入)有关。但在信号刚开始输入和输入要结束阶段会有边界效应,导致相关的输入时刻小于M。
因此希望系统很小进入稳定状态,则要求h(n)尽可能小。

浙公网安备 33010602011771号