LTI系统的向量理解(零极点位置对幅度响应的影响)
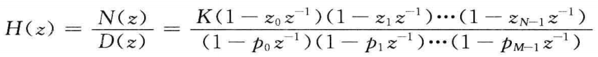
系统传递函数,零极点的形式:

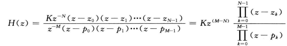
作变形:

系统的频率响应为:

用向量形式表示:

其中, ![]()
![]()
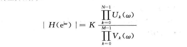
幅频响应为:

结论:接近单位圆的零点引起该点附近的单位圆上的频率幅度响应变小;接近单位圆的极点引起该点附近的单位圆上的频率幅度响应变大。
极点影响幅度响应峰值及尖锐程度,零点影响幅度响应谷值及形状。
ps:相频响应的向量表示不够直观,但实际中一般要求是线性相位。
系统传递函数,零极点的形式:

作变形:

系统的频率响应为:

用向量形式表示:

其中, ![]()
![]()
幅频响应为:

结论:接近单位圆的零点引起该点附近的单位圆上的频率幅度响应变小;接近单位圆的极点引起该点附近的单位圆上的频率幅度响应变大。
极点影响幅度响应峰值及尖锐程度,零点影响幅度响应谷值及形状。
ps:相频响应的向量表示不够直观,但实际中一般要求是线性相位。