Z变换、系统传递函数
LTI系统时域分析方法:信号按单位冲激信号的分解、系统差分方程;
频域分析:信号按复正弦信号的分解;
Z变换将三种方法联系起来。
对于实时物理可实现的因果系统的Z变换:

反向Z变换一般通过因式分解为多个简单信号的Z变换之和再查表。
对LTI系统的单位冲激响应做Z变换得到系统传递函数:

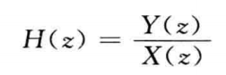
从系统输入/输出的角度,系统传递函数为:

上式提供了获得系统冲激响应h(t)的另一种方法,而不是一定要输入单位冲激信号。
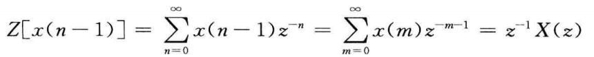
根据Z变换的移位特性:
![]()
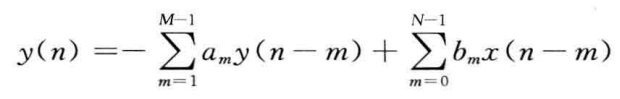
对系统差分方程的描述做Z变换:



上式将差分方程和系统冲激响应h(t)联系了起来。

浙公网安备 33010602011771号