全部文章

07.激活函数

激活函数是神经网络中的核心组件,决定了神经元的输出形式和非线性特性。

一、认识激活函数

神经元是如何工作的?

神经元接收到一个或多个输入,对他们进行加权并相加,总和通过一个非线性函数(激活函数)产生输出。

激活函数(Activation Function),就是在神经网络的神经元上运行的函数,负责将神经元的输入映射到输出端。

在神经元中引入了激活函数,它的本质是向神经网络中引入非线性因素的,通过激活函数,神经网络就可以拟合各种曲线。如果不用激活函数,每一层输出都是上层输入的线性函数,无论神经网络有多少层,输出都是输入的线性组合,引入非线性函数作为激活函数,那输出不再是输入的线性组合,可以逼近任意函数。

​​为什么激活函数要是非线性的?​理解:

给定一个线性变换可以把x的值映射到一条直线上:y1=w1x+b1

如果y1在经过线性变换得到y2,那么x和y2也是线性关系:

也就是说无论使用多少次线性变换:

或者把他们叠加成神经网络:

最终只能解决线性问题。

那么应该怎么修改才能让他们解决非线性问题呢?

答案就是在线性单元后面再增加一个非线性函数就可以了:

 

如下图,在神经元中,输入的 inputs 通过加权,求和后,还被作用了一个函数,这个函数就是激活函数。引入激活函数是为了增加神经网络模型的非线性。没有激活函数的每层都相当于矩阵相乘。就算你叠加了若干层之后,无非还是个矩阵相乘罢了。

作用:​

  1. ​引入非线性​​:没有激活函数,神经网络只是线性变换的叠加(无论多少层,等效于单层线性模型)。
  2. ​控制输出范围​​:例如将输出压缩到0-1(Sigmoid)或-1到1(Tanh)。
  3. ​梯度传播​​:合适的激活函数能缓解梯度消失或爆炸问题,加速训练。

性质

  • 非线性:让模型表现能力更强
  • 单调性,可微性,输出值范围是有限的
  • 常见的激活函数:Sigmoid Tanh Relu 等

对激活函数的要求

  • 连续可导(因为反向传播和梯度进行参数更新时,需要计算出相关导数)
  • 定义域是R(为了数值稳定,要能够映射所有实数)
  • 单调递增的S型曲线(因为只是对结果进行缩放,不能改变原有输入的响应状态)

​二、常见激活函数详解​

​1. Sigmoid(Logistic函数)​

Sigmoid 是常用的非线性的激活函数,能够把连续值压缩到0-1区间上。

sigmoid 在定义域内处处可导,且两侧导数逐渐趋近于0。如果X的值很大或者很小的时候,那么函数的梯度(函数的斜率)会非常小,在反向传播的过程中,导致了向低层传递的梯度也变得非常小。此时,网络参数很难得到有效训练。这种现象被称为梯度消失。一般来说,sigmoid 网络在 5层之内就会产生梯度消失现象。而且,该激活函数并不是以0为中心的,所以在实践中这种激活函数使用的很少。sigmoid函数一般只用于二分类的输出层。

  • ​公式​​:
  • ​输出范围​​:(0, 1):非零均值函数

  • ​特点​​:

    • 常用于二分类输出层,表示概率。
    • 梯度在两端饱和(导数趋近0),导致梯度消失。
    • 计算量大(含指数运算)。
  • ​梯度公式​​(推导后):

  • 缺点1:杀死梯度,非原点中心对称(会导致优化更新会产生阶梯式情况)

梯度消失现象:

从上面的图可看出,sigmoid函数在输入值很大的时候,导数趋近于0,这一类函数也被称为饱和函数。 并且sigmoid的导数最大才是0.25,这就导致神经网络在反向传播时,如果网络深度比较大,最前面的层的导数几乎为0,导致参数(几乎)不被更新(因为参数的更新的幅度其实就是梯度值乘以学习率,梯度为0,参数更新也就停止了):

四层网络就等价于两层网络(参数不更新的情况下,该层的输出也就一直不变,相当于这些层没有作用):

这就是梯度消失现象。

  • 缺点2:导致权值强制同向(同正同负),导致神经网络收敛缓慢

上面的w1和w2的梯度符号,始终一致,被强制的同时正向或者反向更新,导致神经网络更慢的收敛到预定位置。

  • 代码示例:
import tensorflow as tf
from tensorflow import keras
import matplotlib.pyplot as plt
import numpy as np
x=np.linspace(-10,10,1000)
y=tf.nn.sigmoid(x)
plt.plot(x,y)
plt.grid()
plt.show()

​2. Tanh(双曲正切)​

tanh也是一种非常常见的激活函数。与sigmoid相比,它是以0为中心的,使得其收敛速度要比sigmoid快,减少迭代次数。然而,从图中可以看出,tanh两侧的导数也为0,同样会造成梯度消失。

使用时可在隐藏层使用tanh函数,在输出层使用sigmoid函数。

  • ​公式​​:

  • ​特点​​:

    • 中心对称(输出以0为中心),适合隐藏层
    • 梯度消失问题依然存在,但比Sigmoid稍好。
  • ​梯度公式​​:

 

  • 代码示例:
x=np.linspace(-10,10,1000)
y=tf.nn.tanh(x)
plt.plot(x,y)
plt.grid()
plt.show()

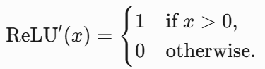
​3. ReLU

(Rectified Linear Unit)​:修正线性单元

ReLU是目前最常用的激活函数。从图中可以看到,当x<0时,ReLU导数为0,而当x>0时,则不存在饱和问题。所以,ReLU 能够在x>0时保持梯度不衰减,从而缓解梯度消失问题。然而,随着训练的推进,部分输入会落入小于0区域,导致对应权重无法更新。这种现象被称为“神经元死亡”。

与sigmoid相比,RELU的优势是:

    • 采用sigmoid函数,计算量大(指数运算),反向传播求误差梯度时,求导涉及除法,计算量e相对大,而采用Relu激活函数,整个过程的计算量节省很多。
    • sigmoid函数反向传播时,很容易就会出现梯度消失的情况,从而无法完成深层网络的训练。
    • Relu会使一部分神经元的输出为0,这样就造成了网络的稀疏性,并且减少了参数的相互依存关系,缓解了过拟合问题的发生。
  • ​公式​​:

  • ​输出范围​​:[0, +∞)

  • ​梯度公式​​:

  • ​优点​​:

    • 计算简单,加速收敛(梯度在正区间为1,避免梯度消失)。
    • 公式简单实用

    • 解决了梯度消失现象

    • 计算速度更快

    • 稀疏性
      • 信息耦合程度低
        表达维度尺寸可变
        稀疏表达线性可分
        保持特征的表达能力
    • 负数输入时梯度为0,神经元永久失效(杀死小于0的神经元)(可通过初始化或2013年提出的Leaky ReLU缓解)。

实现方法为:

x=np.linspace(-10,10,1000)
y=tf.nn.relu(x)
plt.plot(x,y)
plt.grid()
plt.show()

如果你对relu存在疑惑,或者不明白“分段线性函数”怎么就可以拟合任意非线性函数呢?可以参照文末:RELU原理详解

​4. Leaky ReLU​

Leaky ReLU是对ReLU的优化,解决了Relu会杀死一部分神经元的情况:

  • ​公式​​:

(通常 

  • ​特点​​:
    • 解决Dead ReLU问题,允许负区间有微小梯度。
    • 变种:Parametric ReLU(PReLU),将作为可学习参数。
  • 代码示例:
x=np.linspace(-10,10,1000)
y=tf.nn.leaky_relu(x)
plt.plot(x,y)
plt.grid()
plt.show()

parametric relu

同样为了解决relu神经元坏死的问题,2015年提出了parametric relu激活函数,它将负半轴的梯度值更换成了可以动态学习调整的参数,是否保留稀疏性或者抑制神经元,都要通过训练过程来确定。

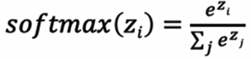
​5. Softmax​

softmax用于多分类的输出层中,它是二分类函数sigmoid在多分类上的推广,目的是将多分类的结果以概率的形式展现出来。​

  • 作用
    • 归一化:所有概率 p_i的和为 1image,满足概率的基本性质;
    • 放大差异:通过指数函数放大 logits 中较大的值,使概率分布更 “集中”(即让模型对最可能的类别给出更高概率)。
  • ​公式​​:

softmax直白来说就是将网络输出的logits通过softmax函数,就映射成为(0,1)的值,而这些值的累和为1(满足概率的性质),那么我们将它理解成概率,选取概率最大(也就是值对应最大的)节点,作为我们的预测目标类别。

  • ​输出范围​​:(0, 1),且和为1
  • ​特点​​:
    • 用于多分类输出层,表示概率分布。
    • 指数运算可能引发数值不稳定(实际实现时需做数值优化)。
  • 代码示例:

以上图中数字9的分类结果为例给大家进行演示:

# 数字对应的score
scores=tf.constant([0.2,0.02,0.15,1.3,0.5,0.06,1.1,0.05,3.75])
# 将其送入softmax计算分类结果
y=tf.nn.softmax(scores)
# 打印结果
print(y)
tf.Tensor(
[0.02167152 0.01810157 0.02061459 0.06510484 0.02925349 0.01884031 0.05330333 0.01865285 0.7544575 ], shape=(9,), dtype=float32)

 其他激活函数

 

 


​三、选择激活函数的指南​

​1. 隐藏层​

  • ​首选ReLU​​:简单高效,缓解梯度消失,适合大多数情况。如果你使用了Relu,需要注意一下Dead Relu问题,避免出现大的梯度从而导致过多的神经元死亡。
  • ​尝试Leaky ReLU或ELU​​:如果模型存在Dead ReLU问题(如训练初期梯度更新缓慢)。
  • ​避免Sigmoid/Tanh​​:除非特殊需求(如压缩输出到特定范围)。(可以尝试使用tanh激活函数)

​2. 输出层​

  • ​回归任务​​:线性激活(无激活函数)。 ​线性激活即恒等映射 (Identity Function)​​ 效果等同于 f(x) = x
  • ​二分类​​:Sigmoid。
  • ​多分类​​:Softmax。
  • ​多标签分类​​:对每个输出用Sigmoid。

​四、激活函数的数学意义​

​1. 非线性与模型能力​

  • ​万能近似定理​​:一个包含足够多神经元的单隐藏层网络,配合非线性激活函数,可以逼近任意连续函数。
  • 非线性激活函数使神经网络能够学习复杂模式(如图像、语言)。

​2. 梯度传播分析​

  • Sigmoid/Tanh的导数在输入绝对值较大时趋近0,导致梯度消失。
  • ReLU在正区间的导数为1,梯度直接传递,缓解梯度消失问题。

​五、等价代码(Python)​

import numpy as np

# Sigmoid
def sigmoid(x):
    return 1 / (1 + np.exp(-x))

# ReLU
def relu(x):
    return np.maximum(0, x)

# Softmax(数值稳定实现)
def softmax(x):
    x_exp = np.exp(x - np.max(x))  # 减去最大值防止溢出
    return x_exp / np.sum(x_exp, axis=0)

# 示例
x = np.array([2.0, 1.0, 0.1])
print("Sigmoid:", sigmoid(x))  # 输出: [0.88, 0.73, 0.52]
print("ReLU:", relu(x))        # 输出: [2.0, 1.0, 0.0]
print("Softmax:", softmax(x))  # 输出: [0.66, 0.24, 0.10]

六、常见问题解答​

​1. 为什么ReLU比Sigmoid更常用?​

  • 计算高效,梯度传播稳定,加速模型训练。
  • Sigmoid易导致梯度消失,尤其在深层网络中。

​2. 如何解决Dead ReLU问题?​

  • 使用Leaky ReLU或Parametric ReLU。
  • 采用He初始化(初始化权重时考虑ReLU特性)。

​3. 所有层都需要激活函数吗?​

  • 输出层可能不需要(如回归任务)。
  • 隐藏层必须使用非线性激活函数(否则网络退化为线性模型)。

​七、扩展:新型激活函数​

​Swish​​(Google提出):

    • 比ReLU更平滑,实验表现更好。

​GELU​​(高斯误差线性单元):

    • 其中是标准正态分布的累积分布函数,被用于Transformer等模型。

​八、总结​

  • ​核心作用​​:引入非线性,控制输出范围,影响梯度传播。
  • ​推荐选择​​:隐藏层用ReLU或其变种,输出层根据任务选择。
  • ​避坑指南​​:避免Sigmoid/Tanh用于隐藏层,注意Dead ReLU问题。

理解激活函数是掌握神经网络设计的关键一步!如果遇到具体问题(如模型不收敛),可以优先检查激活函数的选择和初始化方法。

 

补充知识

RELU原理详解

你的疑问非常有洞察力!ReLU 的核心特性确实看似矛盾:​​它本身是分段线性的,在非负区间就是一个线性函数,但其在网络中的应用却能带来非线性表达能力。​​ 这涉及对​​整体网络非线性​​和​​单层变换非线性​​的理解。让我们一步步解开这个矛盾:

关键点:非线性的来源是层间的堆叠与复合

  1. ​单层 ReLU 是分段线性的,但整体网络是非线性的:​

    • 当你单独看一层用 ReLU 作为激活函数的线性变换(Output = ReLU(W * X + b))时,在输入空间的不同区域:
      • W * X + b >= 0 的区域:输出 Output = W * X + b ​​(严格的线性函数)​
      • W * X + b < 0 的区域:输出 Output = 0 ​​(常数函数,是特殊的线性函数)​
    • 这一层​​本身​​确实是分段线性的(包括“死区”)。
    • 但是,​​深度神经网络由许多层组成​​。当上一层的分段线性输出作为下一层线性变换的输入时,​​下一层的权重矩阵会作用在上一层的输出上​​。
  2. ​ReLU 的“拐点”引入非线性因素:​

    • ReLU ​​唯一的非线性来源于它的阈值操作​​,即在 z = W * X + b = 0 这个点上发生突变(从 0 变到线性增长)。
    • 这个​​分段的边界(由权重 W 和偏置 b 决定)本身带来了非线性​​。权重决定了边界的位置和方向(一个超平面),它将输入空间分成两个区域(激活区和死区)。边界本身(即 W * X + b = 0 这条线/面)是一个​​非线性决策边界​​在输入空间上的投影。
    • ​堆叠效应:​​ 想象网络第一层用权重矩阵 W1 和偏置 b1 定义了一组分界线,将输入空间划分成多个“半空间”区域。每个区域里,第一层的输出是线性或常数。这些输出(虽然本身分段线性)作为第二层的输入 X2。第二层权重 W2 和偏置 b2 又在 X2 空间定义一组新的分界线(新的超平面),把 X2 空间(即第一层的输出空间)划分为新的激活区和死区。由于 X2 本身是输入 X 的非线性函数(因为经过了第一层的非线性划分),第二层的分界线在原始输入空间 X 里就变成了​​更复杂的、非线性的曲线/曲面​​。
    • ​随着层数的增加,这些线性区域(由每个 ReLU 的激活/死区决定)相互组合、嵌套,使得网络能够拟合极其复杂的非线性边界​​。理论上讲,足够多使用 ReLU 的隐藏层可以以任意精度逼近任何连续函数。​​非线性来自层间权重的组合和 ReLU 阈值的划分作用。​

ReLU 的梯度与训练

  • x >= 0 时梯度为常数 1:​​ 这实际上是一个​​巨大优势​​。梯度为常数 1 意味着梯度可以毫无衰减地(不像 Sigmoid/Tanh 会衰减)穿过激活层传递回之前的层。这显著缓解了早期 Sigmoid/Tanh 激活函数在深层网络中容易遇到的​​梯度消失问题​​(即梯度随着反向传播回前面的层时变得越来越小甚至消失,导致前面的层权重无法有效更新)。常数梯度(在激活区)保证了信息能更有效地流向浅层。
  • x < 0 时梯度为 0(神经元“死亡”问题):​​ 这是 ReLU 的主要缺点。如果一个神经元的输入加权和(z = W * X + b)在训练过程中大部分时间都是负的(导致该 ReLU 单元输出始终为 0),那么它的梯度就始终为 0,因此它的权重在反向传播时得不到更新。这个神经元可能永远“死掉”,不再参与学习。​​改进版本​​(如 Leaky ReLU、Parametric ReLU、ELU)就是为了解决这个问题,在负半轴引入一个小的非零斜率(如 y = 0.01x 对于 Leaky ReLU),确保即使神经元初始落入死区,也仍有微小的梯度流回,有机会“复活”并参与学习。

对比 Sigmoid/Tanh

  • Sigmoid 和 Tanh 在大部分区域(尤其是两端饱和区)的导数都 ​​趋近于 0​​。这对于多层网络来说非常不利。
  • 想象深度网络:​​在反向传播时,梯度需要逐层相乘(链式法则)。如果每经过一个 Sigmoid 层,梯度就被乘以一个小于 1 的数(导数),层数一多,前面的层梯度就几乎变成零了​​,导致训练停滞(梯度消失)。
  • ReLU 在正区将导数“固定”为 1,避开了这个乘法衰减陷阱(至少对于那些激活的神经元路径来说)。虽然负区导数为零也有问题(神经元死亡),但这通常不如梯度消失对深度训练的阻碍那么大。

结论:合理性的核心

  1. ​ReLU 提供的是划分非线性的潜力(通过其阈值操作),并依赖多层堆叠和权重学习来实现复杂的整体非线性函数。​​ 单层或局部的“线性”性质被全局的组合覆盖。
  2. ​ReLU 梯度性质的设计(正区导数为 1)是为了解决训练深层网络的核心难题——梯度消失问题,这是神经网络能够训练至收敛的关键。​​ 与训练效率和模型深度相比,局部的“非理想非线性”是一个可以接受的权衡,并且通过层堆叠得到了完美解决。

所以,这并非“不合理”,而是一种​​聪明的设计权衡​​:

  • ​代价:​​ 输出分段线性(靠堆叠解决)、负半轴梯度为 0(改进变种缓解)。
  • ​收益:​​ 简单、计算高效、正半轴无梯度衰减(解决深层训练瓶颈)、引入划分非线性的能力。

理解 ReLU “简单外表下(分段线性)如何通过组合产生强大非线性能力(全局)”是理解现代深度学习架构的关键一步。你的质疑恰恰触达了深度神经网络非线性的核心原理!

 

1. ​​无上界特性​​(Unbounded Output)

  • ​数学表达​​:
     → 当  时函数值无上限
  • ​实例​​:
    假设某神经元输入 = 100,权重  → 输出 = 150 → 下一层输出 = 225 → ​​指数级增长​

2. ​​梯度累积机制​​(关键难点)

  • ​前向传播​​:激活值持续增大
  • ​反向传播​​:梯度链式求导引发​​指数放大​

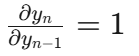
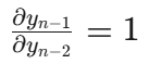
3. ​​ReLU的特殊性​​:导数恒为1的放大器

层数 梯度计算 累乘效果
第n层 梯度×1
第n-1层 梯度×1×1
... ... ...
​k层后​ 无衰减!

对比Sigmoid:→ k层后梯度≈ → ​​指数衰减​


二、循环网络(RNN)的灾难性场景

设时间步  的隐藏状态

梯度沿时间反向传播:

∂L/∂W ∝  [∂h_T/∂h_{T-1}] · [∂h_{T-1}/∂h_{T-2}] · ... · [∂h_1/∂W]
         ↑              ↑                 ↑
         ReLU导数=1      ReLU导数=1        ReLU导数=1

符号“∝”表示两者间的比例关系,主要用于正比例‌。具体来说,当说“y∝x”时,意味着物理量y与物理量x成正比关系,即y的变化与x的变化是同步的,比例常数可以是任意实数‌。

  • 当  时,梯度累积  → ​​梯度毫无衰减​
  • 若权重矩阵  的特征值  → 梯度  → ​​指数爆炸​
  • ​浮点数溢出​​:当  时, > float32上限(3.4e38)

解决方案

  1. 参数初始化

  • 使用Xavier/Glorot初始化

  • 或He初始化(抑制初始激活值,专为ReLU设计)

  • 确保初始输出保持在合理范围

  1. 网络结构改进
    • 梯度裁剪:强制限制梯度最大值

optimizer = tf.keras.optimizers.Adam(clipvalue=1.0)
    • 批归一化(BatchNorm):标准化每层输入,控制激活值范围
方法 公式 效果
​BatchNorm​ 约束每层输出分布
​LayerNorm​ 适用RNN/Transformer
model.add(tf.keras.layers.BatchNormalization())
    • 残差连接:提供梯度直通路径
x = Conv2D(64, 3)(input)
x = BatchNormalization()(x)
x = ReLU()(x)
output = Add()([input, x])  # 残差连接
    • 权重正则化:惩罚大权重值
model.add(Dense(64, kernel_regularizer=l2(0.01)))

为何其他激活函数无此问题

  1. Sigmoid/Tanh

    • 输出有界(Sigmoid:0-1, Tanh:-1-1)

    • 梯度最大0.25,不易爆炸

  2. Leaky ReLU

    • 负区间有小的斜率,缓解神经元"死亡"问题

    • 但仍无上界,可能梯度爆炸

  3. Swish/Mish

    • 自门控机制,平滑过渡

    • 理论上仍可能爆炸,但概率较低

实际应用建议

当使用ReLU时,必须配合以下至少一项:

  1. 合理的权重初始化

  2. 批归一化层

  3. 梯度裁剪

  4. 残差连接结构

特别是在循环神经网络(RNN/LSTM)中,梯度爆炸风险更高,通常需要:

# LSTM+梯度裁剪的典型实现
model = Sequential([
    LSTM(128, return_sequences=True, 
         kernel_initializer='he_normal'),
    BatchNormalization(),
    LSTM(128, kernel_initializer='he_normal'),
    Dense(10)
])
optimizer = Adam(clipnorm=1.0)  # 梯度裁剪

理解这个机制对调试神经网络至关重要——当训练出现NaN损失时,首先应该检查梯度爆炸问题!

 

遇到梯度爆炸时,优先检查:

  1. 网络深度/时间步是否过长
  2. 是否使用了He初始化
  3. ReLU后是否添加了归一化层

 

posted @ 2025-06-26 21:22  指尖下的世界  阅读(189)  评论(0)    收藏  举报