全部文章

01-2高等数学-导数

引例

导数的定义(变化率)

注:涉及变化率(函数随自变量的变化速度)的问题,都用导数来描述和计算。

导数的几何意义(切线、法线)

单侧导数

可导与连续

不可导的情况

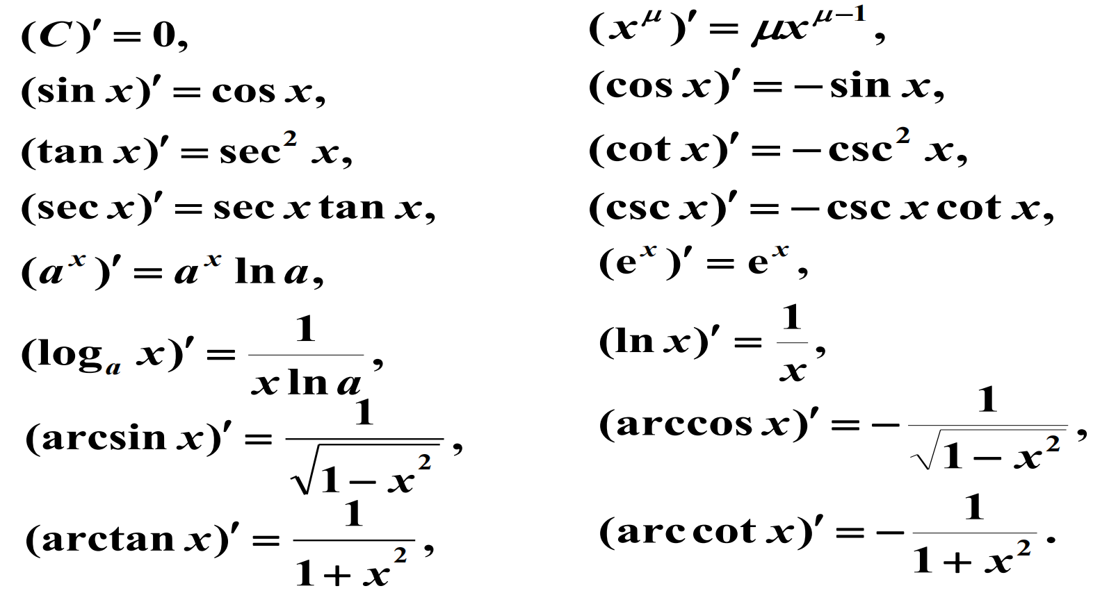
导数公式--常数和基本初等函数

(不要死记硬背,现查现用)

导数的运算(函数的和、差、积、商的求导法则

复合函数求导

导数公式推导与案例解析

例:推导y=x2导数为什么等于2x

导数的运算例题

 

高阶导数

导数应用

1.判断函数单调性

通过函数的导数的值,可以判断出函数的单调性、驻点以及极值点:

在某一个区间内,若函数的导数大于0,则函数在这一个区间单调递增;若导数小于0,则单调递减;这种区间就叫做单调区间。

导数等于零的点为函数驻点

驻点不可导点处,函数可能取极大值极小值(即极值可疑点);

如果存在某点,使得该点之前区间上导数值都大于零,而之后的区间上导数都小于零,那么这个点就是一个极大值点,反之则是一个极小值点

2.判断曲线的凹凸性

3.求函数的极值

注意!!!极值点并不一定是最值!!!

函数极值定义

注:的意思是“去心”邻域(即不包含X0,X0的左边δ范围和右边δ范围);

f (x) 在极值点 x0 处可导,则 f (x0 ) = 0 .

极值存在的第一充分条件:

极值存在的第二充分条件:

求极值的步骤总结:

(1) 确定函数的定义域

(2) 求导数 f ′(x);

(3) 求定义域内部的极值嫌疑点(即驻点或一阶导数不存在的点);

(4) 用极值的判定第一或第二充分条件。注意第二充分条件只能判定驻点的情形.

4.求函数最大值、最小值

补充:

1)如果 f (x) 在[a,b] 上单调,则它的最值必在端点处取到;

2)如果 f ( x) 在[a,b]上连续,且在 (a, b) 内可导, 且有惟一驻点,则若为极小值点必为最小值点,若为极大值点必为最大值点;

  3)更进一步,若实际问题中有最大(小)值,且有惟一驻点,则不必判断极大还是极小,立即可以断定该驻点即为最大(小)值点.

最值例题:

  • 正方形铁皮剪铁盒,如何剪面积最大

  将边长为a的正方形铁皮,四角各截去相同的小正方形,折成一 个无盖方盒,问如何截,使方盒的容积最大?为多少?

  • 罐头盒如何用料最少

导数应用5 Taylor公式(泰勒公式)

详见下章:01-4高等数学-泰勒公式

 
posted @ 2025-05-14 20:20  指尖下的世界  阅读(139)  评论(0)    收藏  举报