小白1-I铺垫(卡特兰数)
https://www.bilibili.com/video/BV1nE411A7ST?from=search&seid=17982964878641228812
第一例 二叉数的卡特兰数



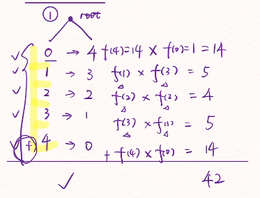
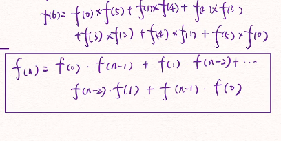
发现了可以递归

下面就开始讨论f(5)的情况
发现会递归用到f(1)---f(4)

发现规律后可以推出f(6)和f(n)的

——————————————————————————————————————————————————
第二例
括号匹配的卡特兰数
和上面的二叉数是类似的
——————————————————————————————————————————————————
第三例
买票的卡特兰数

——————————————————————————————————————————————————————————————
第四例
分割三角形的卡特兰数

————————————————————————————————————————————————————————————————————
第五例
栈



将一个数字入栈和出栈两个操作分别对应为一对括号的左边和右边 就可以理解了

浙公网安备 33010602011771号