链表:虚拟头节点
链表:虚拟头节点
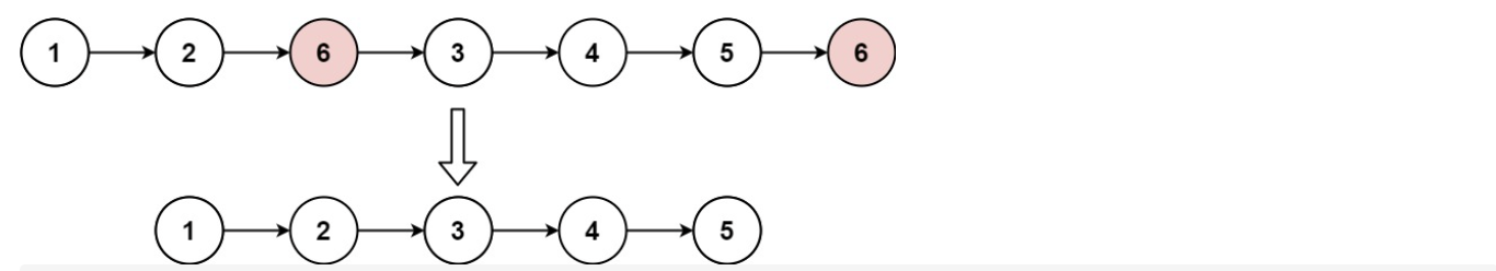
题目:203. 移除链表元素
给你一个链表的头节点 head 和一个整数 val ,请你删除链表中所有满足 Node.val == val 的节点,并返回新的头节点。

输入:head = [1,2,6,3,4,5,6], val = 6
输出:[1,2,3,4,5]
思路
链表操作的两种方式:
- 直接使用原来的链表来进行删除操作
- 设置一个虚拟头结点在进行删除操作
移除头结点和移除其他节点的操作是不一样的,因为链表的其他节点都是通过前一个节点来移除当前节点,而头结点没有前一个节点。
设置一个虚拟头结点,这样原链表的所有节点就都可以按照统一的方式进行移除了。

代码
/**
* Definition for singly-linked list.
* public class ListNode {
* int val;
* ListNode next;
* ListNode() {}
* ListNode(int val) { this.val = val; }
* ListNode(int val, ListNode next) { this.val = val; this.next = next; }
* }
*/
class Solution {
public ListNode removeElements(ListNode head, int val) {
ListNode dummyHead = new ListNode(0); // 设置一个虚拟头结点
dummyHead.next = head; // 将虚拟头结点指向head,这样方面后面做删除操作
ListNode cur = dummyHead;
while (cur.next != null) {
if(cur.next.val == val) {
ListNode tmp = cur.next;
cur.next = cur.next.next;
} else {
cur = cur.next;
}
}
return dummyHead.next;
}
}

浙公网安备 33010602011771号