二分类逻辑回归及案例
一、模型的构建
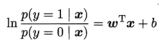
银行在放贷之前都会对客户做一个评估,来判定其是否有大概率会违约。这里我们用1表示其不会违约,用0表示会违约,假设影响因素有m个。
逻辑回归的目的是得到一个p(概率),如果给定一个临界值就可判断其属于哪一类,一般默认临界值为0.5,若p>0.5,则判定为第一类,既不会违约,若p<0.5,则判定为会违约。
sigmoid函数: ![]()

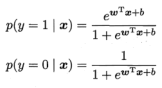
把z带入sigmoid函数: 
变换得到逻辑回归的模型:
于是逻辑回归模型可以视为分对数变换下关于X的一个线性模型
若将y视为不违约的可能性,则1-y是违约的可能性

于是有:

于是我们可以通过极大似然估计来估计:为了方便讨论:wTX+b可以简写为:βTX
极大似然估计拟合逻辑回归模型的基本思想是:寻找一组β的估计,代入模型中,使所有不违约的人的值接近于1,而违约的人值接近于0。
1.构建似然函数:

2.取对数,即对数拟然函数。
3.求偏导。令其为 0,解方程组,求得对应一组回归参数𝛽 𝑙 的最优解。
二、模型的解释:
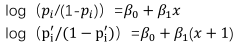
ln(pi / (1-pi))=βTX
假设模型中只包含一个自变量:

等式两侧同时取对数的反函数:

两等式相除:

e𝛽1 表示为,x 每增加一个单位风险增加的倍数,如果𝛽1 为 0.44,即e𝛽1为 1.53,解释为其他变量处于控制状态下,x每增加一个单位,判断为不违约的概率比原来增加了1.53倍。
三、模型的评估:
roc曲线
1.混淆矩阵:

TPR=TP/(TP+FN)
FPR=FP/(FP+TN)
roc曲线:
auc:

浙公网安备 33010602011771号