「笔记」树的直径
树的直径
做 P2491 [SDOI2011]消防 的时候 ,
在寻找 距离每个点的最远点时卡住了 = =
在 题解的帮助 不懈的努力 下 , 得到了 :
距离每个点的最远点 一定为直径的 一端点 的结论
\(\text{sb}\ \text{Luckyblock}\) 并不会证 , 于是就有了这篇文章 :
树形 \(\text{DP}\)
-
随意选择 一节点为根 .
对于每一个 树上节点 \(u\) ,
维护 其子树中 以其为端点 的 最长链\(\text{F1}_u\) 与 次长链\(\text{F2}_u\) , -
显然 , 树的直径 \(=\large \max\limits_{u=1}^{n}{(\text{F1}_u + \text{F2}_u)}\)
必然有一 直径上的点 , 其 最长链 与 次长链 连接后恰好为直径
优点 : 简单好写
缺点 : 不易记录 树的直径的路径
int dfs1(int u, int fa)
{
int marx = 0, marx2 = 0;// 最长链,次长链
for(int i = head[u]; i; i = e[i].ne)
if(e[i].v != fa)
{
int ret = dfs1(e[i].v, u) + e[i].w;//子节点传回的最长链
if(ret >= marx) {marx2 = marx , marx = ret;}//维护 最长链,次长链
}
ans = max(ans, (marx+marx2));//树上最长路径= max(最长链+次长链)
return marx;//递归回传最长链
}
虽然树形 \(\text{DP}\) 非常优秀 \(\dots\)
但是它并不是 此文的主角
两次 \(\text{DFS}\)
-
首先 , 随意选择 一个点 为根 ,
通过 \(\text{DFS}\) 求得树上其他点 , 到达此点的距离
距离其 最远的点 , 必然为直径的 一端点 -
以上一步中 找到的直径的端点 为根 ,
再通过 \(\text{DFS}\) 求得树上其他点 , 到达此点的距离
距离其最远的点 , 必然为直径的 另一端点
若证得 : 距每个点最远的点 定为直径的 一端点 , 即可证明上述算法的正确性
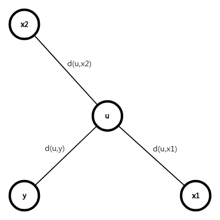
设直径两端点 分别为 : \(x_1 与 x_2\) ; \(d(x,y)\) 为树上两点之间 的 距离
设 \(u\) 与非直径上的点 中距离最远的 点 为 \(y\)
-
若 \(u\) 在直径上 :
-
设 \(d(u,x_1) > d(u,x_2)\) ,
显然 , 有 \(d(u,x_1) > d(u,y)\) -
可以反证 :
若 \(d(u,y) > d(u,x_1)\) , 则 \(d(u,x1) + d(u,y) > d(u,x1) + d(u,x2)\)
则应选择 \(x_1\) 与 \(y\) 作为 直径 , 而非 \(x_1\) 与 \(x_2\) ,反证 结论正确 , 距 \(x\) 最远的点应为 \(x1\) , 而非 \(y\)
-
-
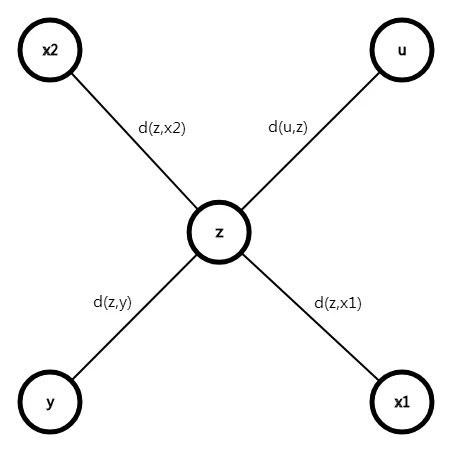
若 \(u\) 不在直径上 且 路径 \((u,y)\) 与 路径\((x_1,x_2)\) 有交点 \(z\) :
-
设 \(d(z,x_1) > d(z,x_2)\) ,
显然 , 有 \(d(z,x_1) > d(z,y)\)
否则 不满足树的直径的性质 -
则有 : \(d(u,z) + d(z,x1) > d(u,z) + d(z,y)\)
故: 距 \(x\) 最远的点应为 \(x1\) , 而非 \(y\)
-
-
若 \(u\) 不在直径上 且 路径 \((u,y)\) 与 路径\((x_1,x_2)\) 无交点 :

-
设路径 \((x,y)\) 上一点 \(z1\) 与 直径上一点 \(z2\) 通过路径 \((z1,z2)\) 相连通
设 \(d(x2,z2) > d(x1,z2)\)
显然 , 有 : \(d(x2,z2) > d(z1,z2) + d(y,z1)\)
否则 不满足树的直径的性质 -
则有 : \(d(u,z1) + d(z1,z2) +d(x2,z2) > d(u,z1) + d(z1,y)\)
故: 距 \(u\) 最远的点应为 \(x2\) , 而非 \(y\)
-
-
\(\text{Q.E.D}\)
[495...]
void dfs(int now,int fat,int sum,bool flag)//dfs求得 树的直径
{
if(flag) pre[now] = fat, map[now] = sum;//第二次dfs记录路径 (前驱
dis[now] = dis[fat] + sum;//更新距离
for(int i = head[now]; i; i = e[i].ne)
if(e[i].v != fat) dfs(e[i].v,now,e[i].w,flag);
}
void get_road()//求得 树的直径
{
dfs(1,0,0ll,0); //一次dfs
for(int i = 1, maxdis = 0; i <= n; i ++)//选择 距离最远的点
if(dis[i] > maxdis) u = i,maxdis = dis[i];
dfs(u,0,0ll,1); //二次dfs
for(int i = 1, maxdis = 0; i <= n; i ++)//选择 距离最远的点
if(dis[i] > maxdis) v = i,maxdis = dis[i];
}

浙公网安备 33010602011771号