git(五)之分支差异对比
一、前言
git分支之间的差异提交对比,可以让我们更清晰的认识到两个分支之间的差异,比如在合并完分支后,对比一下分支是否没有差异来确定合并完成;在开发完成之后,执行分支差异对比来看需要有多少个合并提交等等。
二、正文
其中使用git log去查询对比两个分支提交的差集,可以看两个分支的差异,以及在合并完分支后确认是否所有的提交已经被包含,而不是用肉眼去查看代码。
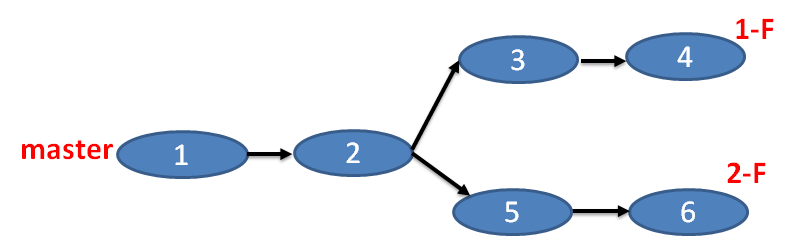
如图所示,是从master拉出的两个分支。

我们使用本地两个不同分支对比
git log ^1-F 2-F ——以本地1-F为基础,查看2-F多出的commit log:5,6。
远程相同分支对比
git log 1-F ^origin/1-F——以远程1-F为基础,查看本地1-F多出的commit log:3,4。
三、结语
以上是对git log使用来获取分支间差异提交的一个小总结,这个git系列就先更新到这里,以后还会有对git更多更深入的学习,共同期待一下子。
其中一些参考资料如下:
廖雪峰git讲解——图文并茂的讲解git使用
https://www.liaoxuefeng.com/wiki/0013739516305929606dd18361248578c67b8067c8c017b000
git官方解释文档——讲解git命令多场景使用
https://git-scm.com/book/zh/v2
《git权威指南》——较为深入讲解git原理

浙公网安备 33010602011771号