特征值和特征向量
特征向量是一个向量,当在它上面应用线性变换时其方向保持不变。考虑下面的图像,其中三个向量都被展示出来。绿色正方形仅说明施加到这三个向量上的线性变换。

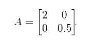
在这种情况下变换仅仅是水平方向乘以因子2和垂直方向乘以因子0.5,使得变换矩阵A定义为:

通过应用这个变换向量
被缩放
。上面的图表明一些向量(红色)的方向不受此线性变换的影响。这些向量被称为变换的特征向量,唯一地定义方形矩阵A。这个独特,确定的关系正是这些向量被称为“特征向量’(Eigen在德语意思是“明确的”)的原因。
在一般情况下,特征向量矩阵A的特征向量
满足下列式子:

其中λ是所谓的“特征值”的一个标量值。这意味着,向量
上的线性变换A完全由λ定义。可以重写(1)式为:

其中I是和矩阵A有相同维数的单位矩阵。
假定
不是空向量,等式(2)只能在(A-λI)不可逆的时候才能被定义。如果一个方阵是不可逆的,这意味着它的行列式必须等于零。因此,要找到A的特征向量,我们只需要解决以下公式:

将通过解等式(3)来确定矩阵A的特征向量和特征值。这个例子中的矩阵A被定义为:

计算特征值
为了确定这个例子中的特征值,我们将等式(4)代入到等式(3)中的矩阵A,得到:

计算行列式:

为了解决λ的二次方程,我们找到了判别式:

由于判别式严格为正,这意味着对于λ有两个不同的值:

我们已经确定了两个特征值λ1和λ2。需要注意的是大小为NxN的方阵总是具有N个特征值,每一个对应一个特征向量。特征值指定特征向量的大小。
计算第一个特征向量
现在,我们可以将等式(7)的特征值代入到等式(1)来确定特征向量。然后通过求解方程组得到特征向量。
我们首先对特征值λ1求解其对应的特征向量:

仅仅是方程组的矩阵符号,我们可以写出它的等价形式:

并解决了用x12的一个函数解决了第一个等式:

因为特征向量仅仅代表一个方向(相应特征值表示幅度),特征向量的所有标量倍数是平行于该特征向量的向量,因此它们是等效的(如果我们标准化向量,它们将是相等的)。因此,进一步求解上面的方程组,我们可以自由地选择了x11或x12的真实值,并用等式(9)来确定另一个。
对于这个例子,我们随意地选择x12= 1,使得x11=-1。因此,对应于特征值λ的特征向量是

计算第二个特征向量
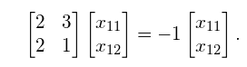
计算第二个特征向量类似于第一特征向量。我们现在将λ2= 4代入等式(1),得到:

写成方程组的形式:

用x21的函数式解决第一个等式得到:

随意地选择x21= 2,并发现x22= 3。因此,对应于特征值λ2=4的特征向量是:

参考:
https://blog.csdn.net/u010182633/article/details/45921929
浙公网安备 33010602011771号