度序列与Havel-Hakimi定理
1. 度序列
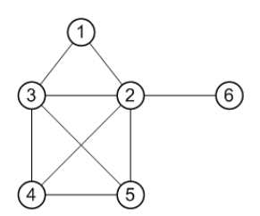
度序列:若把图 G 所有顶点的度数排成一个序列 s,则称 s 为图 G 的度序列。例如,如图所示无向图 G1 的度序列为 s: 2, 5, 4, 3, 3, 1;或 s': 1, 2, 3, 3, 4, 5;或 s'': 5, 4, 3, 3, 2, 1。

其中序列 s 是按顶点序号排序的,序列 s'是按度数非减顺序排列的,序列 s''是按度数非增顺序排列的。给定一个图,确定它的度序列很简单,但是其逆问题并不容易,即给定一个由非负整数组成的有限序列 s,判断 s 是否是某个图的度序列。
序列是可图的:一个非负整数组成的有限序列如果是某个无向图的度序列,则称该序列是可图的。判定一个序列是否是可图的,有以下 Havel-Hakimi 定理。
2. Havel-Hakimi定理
Havel-Hakimi 定理 : 由非负整数组成的非增序列 s: d1, d2, …, dn(n ≥ 2, d1 ≥ 1) 是可图的,当且仅当序列 s1: d2 – 1, d3 – 1, …, dd1+1 – 1, dd1+2, …, dn 是可图的。序列 s1 中有 n-1 个非负整数, s 序列中 d1 后的前 d1 个度数(即 d2~dd1+1)减 1 后构成s1 中的前 d1 个数。
- 例如,判断序列 s: 7, 7, 4, 3, 3, 3, 2, 1 是否是可图的。删除序列 s 的首项 7,对其后的 7 项每项减 1,得到: 6, 3, 2, 2, 2, 1, 0。继续删除序列的首项 6,对其后的 6 项每项减 1,得到: 2, 1, 1, 1, 0, -1,到这一步出现了负数。由于图中不可能存在负度数的顶点,因此该序列不是可图的。
- 再举一个例子,判断序列 s: 5, 4, 3, 3, 2, 2, 2, 1, 1, 1 是否是可图的。删除序列 s 的首项 5,对其后的 5 项每项减 1,得到: 3, 2, 2, 1, 1, 2, 1, 1, 1,重新排序后为: 3, 2, 2, 2, 1, 1, 1, 1, 1。继续删除序列的首项 3,对其后的 3 项每项减 1,得到: 1, 1, 1, 1, 1, 1, 1, 1。如此再陆续得到序列: 1, 1, 1, 1, 1, 1, 0; 1, 1, 1, 1, 0, 0; 1, 1, 0, 0, 0; 0, 0, 0, 0。由此可判定该序列是可图的。

 
                
            
         
         浙公网安备 33010602011771号
浙公网安备 33010602011771号