MOOC哈工大2020C语言程序设计精髓编程题第二周
1 输出逆序数(3分)
题目内容:
从键盘任意输入一个3位整数,编程计算并输出它的逆序数(忽略整数前的正负号)。例如,输入-123,则忽略负号,由123分离出其百位1、十位2、个位3,然后计算3*100+2*10+1 = 321,并输出321。
提示:
1. 从键盘输入数据可以使用函数scanf()。例如,scanf("%d", &x); 表示从键盘输入整数并存入整形变量x中。
2. 利用取绝对值函数 fabs()忽略输入数据的负号。fabs(x)表示计算变量x的绝对值。
3.使用数学函数,需要在程序开头加上编译预处理指令 #include <math.h>
#include <stdio.h>
#include <math.h>
int main() {
//用户输入的三位数
int x;
//逆序数
int y;
//获取键盘输入
scanf("%d",&x);
//转换成绝对值
x = fabs(x);
//判断是否为3位数
if(100 <= x && x <= 999){
int a,b,c;
//百位
a = x / 100;
//十位
b = x /10 %10;
//个位
c = x % 10;
y = c * 100 + b * 10 + a;
}
printf("Input x:\n");
printf("y=%d\n",y);
return 0;
}
2 计算总分和平均分(3分)
题目内容:
小明本学期共有5门课程,分别是英语、语文、数学、历史和音乐。5科的期中考试成绩分别是86分、74分、92分、77分、82分,期末考试成绩分别是81分、87分、90分、62分、88分。已知期中和期末考试成绩分别占总成绩的30%和70%。定义相应的变量存放各科成绩,并计算出小明5门课程的总分和平均分。要求平均分输出两种形式:带2位小数的浮点数形式和不带小数的整数形式。要求总分输出带2位小数的浮点数形式。程序中浮点数的数据类型均为float类型。
提示:
输出不带小数的平均分的整数形式可以使用强制类型转换。
#include <stdio.h>
int main(){
//期中
float midtermEnglish = 86,midtermChinese = 74,midtermMath = 92,midtermHistory = 77,midtermMusic = 82;
//期末
float termEndEnglish = 81,termEndChinese = 87,termEndMath = 90,termEndHistory = 62,termEndMusic = 88;
float total,average;
total = (midtermEnglish + midtermChinese + midtermMath + midtermHistory + midtermMusic ) * 0.3 + (termEndEnglish + termEndChinese + termEndMath + termEndHistory + termEndMusic) * 0.7;
average = total / 5;
printf("total=%.2f\n",total);
printf("average=%.2f\n",average);
printf("average=%d\n",(int)average);
return 0;
}
3 存款利率计算器V1.0(3分)
题目内容:
设银行定期存款的年利率rate为2.25%,已知存款期为n年,存款本金为capital元,试编程计算并输出n年后的本利之和deposit。程序中所有浮点数的数据类型均为double类型。
提示:
1. 从键盘输入数据可以使用函数scanf()。本例中为scanf("%lf,%d,%lf", &rate, &n, &capital);
2. 本程序最终计算的是复利。
3. 计算幂的数学函数为pow(a,n), 代表a的n次幂。
4. 使用数学函数,需要在程序开头加上编译预处理指令 #include <math.h>
#include <stdio.h>
#include <math.h>
int main(){
double capital,rate,deposit;
int year;
printf("Please enter rate, year, capital:\n");
scanf("%lf,%d,%lf",&rate,&year,&capital);
//deposit=pow((1.0 + rate),year)*capital;
for (; year > 0; year--) {
capital = capital + (capital * rate);
}
deposit = capital;
printf("deposit=%.3f\n",deposit);
return 0;
}
4 数位拆分v1.0(3分)
题目内容:
现有一个4位数的正整数n=4321(即n是一个已知的数,固定为4321),编写程序将其拆分为两个2位数的正整数43和21,计算并输出拆分后的两个数的加、减、乘、除和求余的结果。例如n=4321,设拆分后的两个整数为a,b,则a=43,b=21。除法运算结果要求精确到小数点后2位,数据类型为float。
#include <stdio.h>
int main(){
int num = 4321;
int a,b;
int num1,num2,num3,num4;
//千位
num4 = num / 1000;
//百位
num3 = (num / 100) % 10;
//十位
num2 = (num % 100) / 10;
//个位
num1 = num % 10;
a = num4 * 10 + num3;
b = num2 * 10 + num1;
printf("a=%d,b=%d\n",a,b);
printf("a+b=%d\n",a + b);
printf("a-b=%d\n",a - b);
printf("a*b=%d\n",a * b);
printf("a/b=%.2f\n",(float)a / b);
printf("a%%b=%d\n",a % b);
return 0;
}
5 求正/负余数(3分)
题目内容:
在C语言中,如果被除数为负值,则对一个正数求余的时候,求出的余数也是一个负数。在某些场合下,我们需要求出它的正余数,例如:在C语言中有(-11)%5=-1,但是有时我们希望得到的余数不是-1,而是4。请编写程序计算(-11)%5的负余数和正余数。
#include <stdio.h>
int main(){
int x,y;
x = -11;
y = 5;
printf("negative: %d\n",x % y);
printf("positive: %d\n",x % y + y);
return 0;
}
6 身高预测(3分)
题目内容:
已知小明(男孩)爸爸的身高是175厘米,妈妈的身高是162厘米。小红(女孩)爸爸的身高是169厘米,妈妈的身高是153厘米,按照下面公式,预测并输出小明和小红的遗传身高(不考虑后天因素)。
男性成人时身高=(faHeight + moHeight)×0.54cm
女性成人时身高=(faHeight×0.923 + moHeight)/2cm
#include <stdio.h>
int main(){
int man = (175 + 162) * 0.54;
int woman = (169 * 0.923 + 153) / 2;
printf("Height of xiao ming:%d\n",man);
printf("Height of xiao hong:%d\n",woman);
return 0;
}
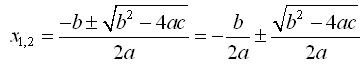
7 求一元二次方程的根(3分)
题目内容:
根据下面给出的求根公式,计算并输出一元二次方程的两个实根,要求精确到小数点后4位。程序中所有浮点数的数据类型均为float.
提示:
1. 计算平方根的数学函数为sqrt()。
2. 使用数学函数,需要在程序开头加上编译预处理指令 #include <math.h>
#include <stdio.h>
#include <math.h>
int main(){
float x1,x2;
x1=(-3+sqrt(-3*-3-4*2*1))/(float)(2*2);
x2=(-3-sqrt(-3*-3-4*2*1))/(float)(2*2);//强制转换
printf( "x1=%.4f\n",x1);
printf( "x2=%.4f\n",x2);
return 0;
}

浙公网安备 33010602011771号