MOOC哈工大2020C语言程序设计精髓练兵区编程题第七周
1 谐均值计算(4分)
题目内容:
两数值的谐均值可以这样计算:首先对两数值的倒数取平均值,最后再取倒数。编写一个带有两个double参数的函数,计算这两个参数的谐均值。函数原型为:
double Calculate(double x,double y);
double Calculate(double x,double y);
int main()
{
double x,y;
printf("Input two doubles:\n");
scanf("%lf%lf",&x,&y);
printf("1/((1/x+1/y)/2) = %0.3f\n",Calculate(x,y));
return 0;
}
double Calculate(double x,double y)
{
return 1/((1/x+1/y)/2);
}
2 输出指定行列数的字符(4分)
题目内容:
编写一个函数,函数原型:void Chline(char ch, int column, int row);
该函数的3个参数是一个字符和两个整数。字符参数是需要输出的字符。第一个整数说明了在每行中该字符输出的个数,而第二个整数指的是需要输出的行数。编写一个调用该函数的程序。
void Chline(char ch, int column, int row);
int main()
{
char c;
int column,row;
printf("input a char:\n");
scanf(" %c",&c);
printf("input column and row:\n");
scanf("%d%d",&column,&row);
Chline(c,column,row);
return 0;
}
void Chline(char ch, int column, int row)
{
for (int i = 0; i < row; ++i)
{
for (int j = 0; j < column; ++j)
{
printf("%c",ch);
}
printf("\n");
}
}
3 魔术师猜数(4分)
题目内容:
在一种室内互动游戏中,魔术师要每位观众心里想一个三位数abc(a、b、c分别是百位、十位和个位数字),然后魔术师让观众心中记下acb、bac、bca、cab、cba五个数以及这5个数的和值。只要观众说出这个和是多少,则魔术师一定能猜出观众心里想的原数abc是多少。例如,观众甲说他计算的和值是1999,则魔术师立即说出他想的数是443,而观众乙说他计算的和值是1998,则魔术师说:“你算错了!”。请编程模拟这个数字魔术游戏。要求用函数实现,函数原型为:int Magic(int m);
其中形参m代表观众计算的和值。
int Magic(int m);
int main()
{
int n,flag;
scanf("%d",&n);
flag = Magic(n);
if(flag == -1)
{
printf("The sum you calculated is wrong!\n");
}
else
{
printf("The number is %d\n",flag);
}
return 0;
}
int Magic(int m)
{
int a,b,c,sum;
for (int a = 1; a < 10; ++a)
{
for (int b = 1; b < 10; ++b)
{
for (int c = 1; c < 10; ++c)
{
sum = 100 * (a + b + b + c + c) + 10 * (a + a + b + c + c) + (a + a + b + b + c);
if(m == sum)
{
return a * 100 + b * 10 + c;
}
}
}
}
return -1;
}
4 计算礼炮声响次数(4分)
题目内容:
在海军节开幕式上,有A、B、C三艘军舰要同时开始鸣放礼炮各21响。已知A舰每隔5秒放1次,B舰每隔6秒放1次,C舰每隔7秒放1次。假设各炮手对时间的掌握非常准确,请编程计算观众总共可以听到几次礼炮声。
int main()
{
int a = 0, b = 0, c = 0, count = 0;
while (a <= 5 * 20 || b <= 6 * 20 || c <= 7 * 20)
{
if(a % 5 == 0 || b % 6 == 0 || c % 7 == 0)
{
count ++;
}
if(a <= 5 * 20)
{
a++;
}
if(b <= 6 * 20)
{
b++;
}
if(c <= 7 * 20){
c++;
}
}
printf("n=%d",count);
return 0;
}
5 水手分椰子(4分)
题目内容:
n(1<n<=5)个水手在岛上发现一堆椰子,先由第1个水手把椰子分为等量的n堆,还剩下1个给了猴子,自己藏起1堆。然后,第2个水手把剩下的n-1堆混合后重新分为等量的n堆,还剩下1个给了猴子,自己藏起1堆。以后第3、4个水手依次按此方法处理。最后,第n个水手把剩下的椰子分为等量的n堆后,同样剩下1个给了猴子。请用迭代法编程计算并输出原来这堆椰子至少有多少个,n的值要求从键盘输入。若输入的n值超出要求的范围,程序输出"Error!"。
提示:分成的等量的堆数应该与水手的数量一致.
int divide(int n, int m);
static int people;
int main()
{
int n;
printf("Input n(1<n<=5):\n");
scanf("%d", &n);
people = n;
if(n > 1 && n <= 5)
{
for (int i = 1; ; i++)
{
if(divide(i, n))
{
printf("y=%d\n", i);
break;
}
}
}
else
{
printf("Error!\n");
}
return 0;
}
int divide(int n, int m)
{
if(n / people == 0 || n % people != 1)
{
return 0;
}
if(m == 1)
{
return 1;
}
return divide(n - n / people - 1, m - 1);
}
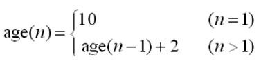
6 递归法计算游戏人员的年龄(4分)
题目内容:
有n个人围坐在一起,问第n个人多大年纪,他说比第n-1个人大2岁;问第n-1个人,他说比第n-2个人大2岁,.....,问第3个人,他说比第2个人大2岁;问第2个人,他说比第1个人大2岁。第1个人说自己10岁,问第n个人多大年纪。
递归函数原型:unsigned int ComputeAge(unsigned int n);
提示:
计算年龄的递归公式为:
unsigned int ComputeAge(unsigned int n);
int main()
{
unsigned int n;
scanf("%u", &n);
printf("The person's age is %u\n", ComputeAge(n));
return 0;
}
unsigned int ComputeAge(unsigned int n)
{
if(n == 1)
{
return 10;
}
return ComputeAge(n - 1) + 2;
}
7 递归法计算两个数的最大公约数(4分)
题目内容:
利用最大公约数的性质计算。对正整数a和b,当a>b时,若a中含有与b相同的公约数,则a中去掉b后剩余的部分a-b中也应含有与b相同的公约数,对a-b和b计算公约数就相当于对a和b计算公约数。反复使用最大公约数的上述性质,直到a和b相等为止,这时,a或b就是它们的最大公约数。这三条性质,也可以表示为:
性质1 如果a>b,则a和b与a-b和b的最大公约数相同,即Gcd(a, b) = Gcd(a-b, b)
性质2 如果b>a,则a和b与a和b-a的最大公约数相同,即Gcd(a, b) = Gcd(a, b-a)
性质3 如果a=b,则a和b的最大公约数与a值和b值相同,即Gcd(a, b) = a = b
int Gcd(int a, int b);
int main()
{
int a, b;
printf("Input a,b:");
scanf("%d,%d", &a, &b);
if(a > 0 && b > 0)
{
printf("%d\n", Gcd(a, b));
}
else
{
printf("Input error!\n");
}
return 0;
}
int Gcd(int a, int b)
{
if(a == b)
{
return a;
}
return a > b ? Gcd(b, a - b) : Gcd(a, b - a);
}
8 寻找中位数v1.0(4分)
题目内容:
编写一个函数返回三个整数中的中间数。函数原型为: int mid(int a, int b, int c);
函数功能是返回a,b,c三数中大小位于中间的那个数。
int mid(int a, int b, int c);
int main()
{
int a, b, c;
scanf("%d%d%d", &a, &b, &c);
printf("The result is %d\n",mid(a, b, c));
return 0;
}
int mid(int a, int b, int c)
{
int median;
if(a - b > 0 && c - a > 0)
{
median = a;
}
else if(b - a > 0 && c - b > 0)
{
median = b;
}
else
{
median = c;
}
return median;
}
9 还原算术表达式(4分)
题目内容:
编写程序求以下算式中XYZ的值,其中两数XYZ与YZZ相加的和n(99<n<1000)的值要求从键盘输入。
int main()
{
int n, x, y, z, flag = 0;
printf("Input n(n<1000):\n");
scanf("%d" , &n);
if(n > 99 && n < 1000)
{
//flag为1时不需要继续循环了
for (x = 0; x <= 9 && flag != 1; x++)
{
for (y = 0; y <= 9 && flag != 1; y++)
{
for (z = 0; z <= 9; z++)
{
//x * 100 + y * 10 + z + y * 100 + z * 10 + z
if(n == x * 100 + y * 110 + z * 12)
{
flag = 1;
printf("X=%d,Y=%d,Z=%d\n", x, y, z);
break;
}
}
}
}
if(!flag)
{
printf("Invalid\n");
}
}
return 0;
}

浙公网安备 33010602011771号