2003031114-李路梅-Python第三周作业-Numpy的简单操作
| 项目 | 内容 |
| 课程班级博客链接 | https://edu.cnblogs.com/campus/pexy/20sj |
| 这个作业要求链接 | https://edu.cnblogs.com/campus/pexy/20sj/homework/12540 |
| 博客名称 | 2003031114-李路梅-Python第三周作业-Numpy简单操作 |
| 要求 | 每道题要有题目,代码(使用插入代码,不会插入代码的自己查资料解决,不要直接截图代码!!),截图(只截运行结果) |
题目一:扩展阅读心得体会
Python3及pip、numpy、Matplotlib等模块的安装
通过扩展阅读,我了解了Python3的安装,以及numpy、matplotlib等模块的安装,在安装这些模块之前,我也在书上了解过这些模块。以便于自己能够更好地使用这些模块。安装模块的时候在命令窗口输入pip install...就可以下载模块。Matplotlib是数据可视化基础。
numpy是用于数据科学计算的基础模块numpy能够存储和处理大型矩阵。文章中主要介绍了numpy常用的方法有创建数组,查看数组属性,创建随机数组,读取数据,数组索引 ,扩展矩阵 ,改变维度等功能。
题目二:
实训一:
1.训练要点
(1)掌握Numpy的数组创建以及随机数生成
(2)掌握Numpy中用于统计分析的基础运算函数
2.需求说明
Numpy数组在数值运算方面的效率优于Python提供的list,所以灵活掌握Numpy中数组的创建以及基础的运算是有必要的。
3.实现思路及步骤
(1)创建一个数值范围为0~1,间隔为0.01的数组
(2)创建100个服从正态分布的随机数
(3)对创建的两个数组进行四则运算
(4)对创建的随机数组进行简单的统计分析
4.运行代码和截图
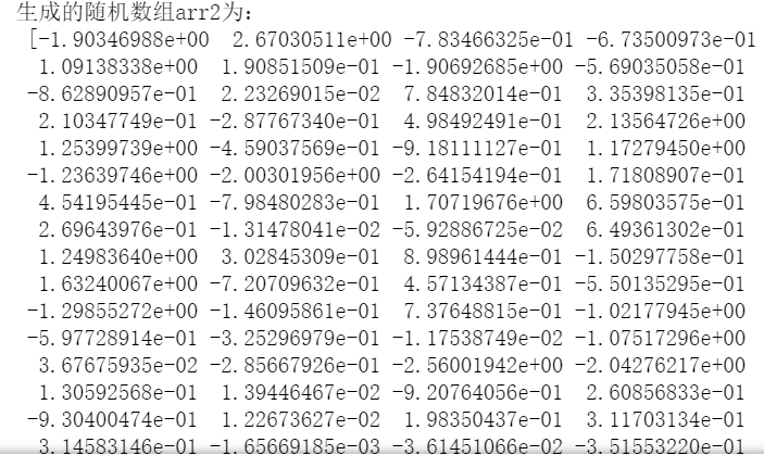
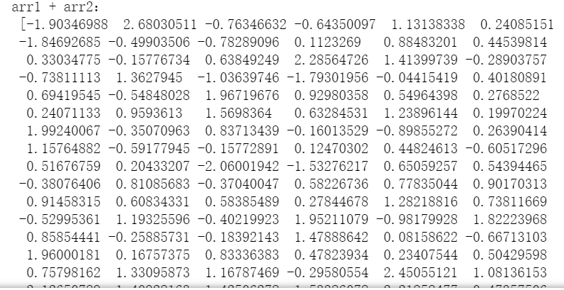
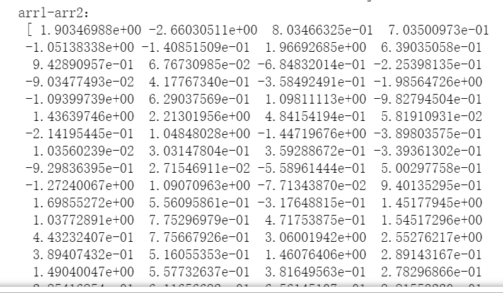
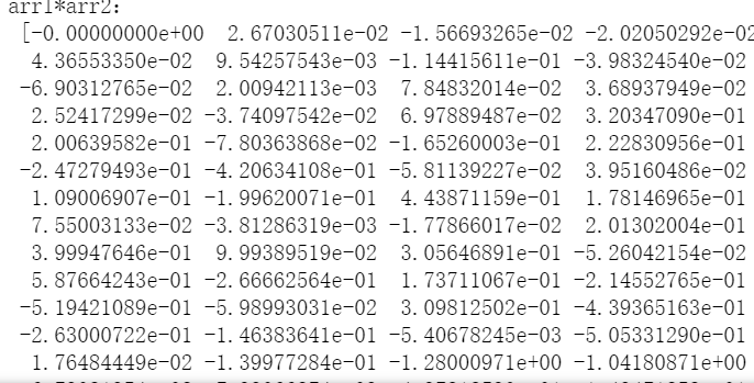
import numpy as np #1、创建一个数值范围为0~1,间隔为0.01的数组 arr1=np.arange(0,1,0.01) print("arange函数创建的数值范围为0~1间隔为0.01的数组arr1为:\n",arr1) #2、创建由100个服从正态分布的随机数构成的数组 arr2=np.random.randn(100) print('生成的随机数组arr2为:\n',arr2) #3、对创建的两个数组进行四则运算 print('arr1 + arr2:\n',arr1+arr2) print('arrl-arr2:\n',arr1-arr2) print('arrl*arr2:\n',arr1*arr2) print('arrl/arr2:\n',arr1/arr2) #print('arrl**arr2:\n',arr1**arr2) #4、对创建的数组进行简单的统计分析 print('正态分布数数组的累计和为:\n',np.cumsum(arr2))#计算所有元素的累计和 print('正态分布数去重后的值组为:\n',np.unique(arr2))#去除重复值 print('正态分布数组的均值为:',np.mean(arr2))#计算数组均值 print('正态分布数组的标准差为:',np.std(arr2))#计算数组标准差 print('正态分布数组的方差为:',np.var(arr2))#计算数组方差 print('正态分布数组的最小值为:',np.min(arr2))#计算最小值 print('正态分布数组的最大值为:',np.max(arr2))#计算最大值 print('正态分布数组的总和为:',np.sum(arr2))#计算数组总和








实训二:
1.训练要点
(1)掌握矩阵创建方法
(2)掌握数组索引的方法
2.需求说明
创建国际象棋棋盘,填充8x8矩阵。国际象棋棋盘是个正方形,由横纵向8哥、颜色一深一浅交错排列的64小方格组成,深色格为黑格,浅色格为白格,棋子就在这些格子中移动。

3.实现思路及步骤
(1)创建一个8x8矩阵
(2)把1、3、5、7行和2、4、6列的元素设置为1。
4.运行代码及截图
import numpy as np matr1=np.ones((8,8)) for i in range(8): for j in range(8): if(i+j)%2==0: matr1[i,j]=0 print('国际棋盘对应的矩阵为:\n',matr1) for i in range(0,8): for j in range(0,8): if matr1[i,j]==0: print("□",end=' ') else: print("■", end=' ') print('\n')

浙公网安备 33010602011771号