import numpy as np a =np.ones((10,10)) #创建一个10行10列、元素全部为1的数组 a[1:9,1:9]=0 #数组第2行到第9行、第2列到第9列的数为0 print(a)

2.在数组主对角线上创建一个值为1,2,3,4的5x5矩阵,图例如下:
[1 0 0 0]
[0 2 0 0]
[0 0 3 0]
[0 0 0 4]
import numpy as np a =np.zeros((5,5)) #创建一个5行5列,元素全为0的数组 m =[0,1,2,3,4] a[m,m]=1,2,3,4,0 #数组主对角线上的值为1,2,3,4 print(a)

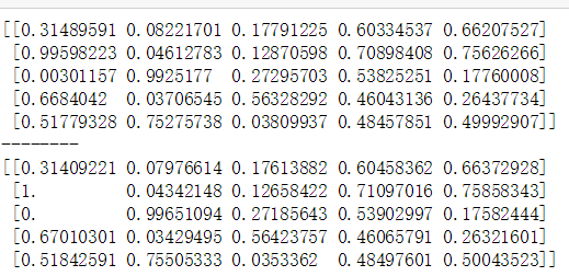
3.数组归一化操作
生成一个随机的 5*5矩阵,找出最大值和最小值,然后把最大值和最小值分别用 1和 0表示,其他值则介于在 0和 1中间。
import numpy as np a = np.random.rand(5,5) #创建一个5行5列的随机数组 print(a) print("--------") #数据对比分隔线 amin, amax = a.min(),a.max() #求最大值和最小值 a= (a-amin)/(amax-amin) #(矩阵元素-最小值)/(最大值-最小值) print(a)

浙公网安备 33010602011771号