svm(support vector machine)之svr(support vector regression)学习笔记(?)
1.SVR和SVC的区分:
SVR:构建函数拟合数据;SVC:二向数据点的划分(分类)
注:SVR的是输入时给出的实际值 \(y_{i}\),SVC的 \(y_{i}\)是输入时给出的类别,即+1,-1。
2.SVR的目的:
找到一个函数\(f(x)\),使之与训练数据给出的实际目标\(y_{i}\) 的偏差几乎不超过\(ε\),同时尽可能平坦。

如图,形成了\(ε-\)不敏感区间。
3.间隔:
分为软间隔和硬间隔。
对于SVR来说,硬间隔是点全部落在\(ε-\)不敏感区间;软间隔是允许少量点落在区间外,编号为\(i\)的点的误差\(\xi _{i}\) 定义式为:
\(\xi _{i}=
\left\{
\begin{aligned}
%\nonumber
&0&&y_{i} \in[f(x_{i})-\varepsilon ,f(x_{i})+\varepsilon],&\\
&f(x_{i})-\varepsilon-y_{i}&&y_{i} \in(-\infty ,f(x_{i})-\varepsilon),&\\
&y_{i}-f(x_{i})-\varepsilon&&y_{i} \in(f(x_{i})+\varepsilon ,+\infty).&\\
\end{aligned}
\right.\)
即点落在区间外面误差才有值。
为了统一定义,咱们设两个误差变量\(\xi _{i}^{+}\) 和 \(\xi _{i}^{-}\) ,
将定义改为:
\(\xi _{i}^{+}=\left\{
\begin{aligned}
&0&&y_{i} \in(-\infty ,f(x_{i})+\varepsilon],&\\
&y_{i}-f(x_{i})-\varepsilon&&y_{i} \in(f(x_{i})+\varepsilon ,+\infty).&\\
\end{aligned}
\right.\\\)
\(\xi _{i}^{-}= \left\{ \begin{aligned} &f(x_{i})-\varepsilon-y_{i}&&y_{i} \in(-\infty ,f(x_{i})-\varepsilon),&\\ &0&&y_{i} \in[f(x_{i})-\varepsilon ,+\infty).&\\ \end{aligned} \right.\)
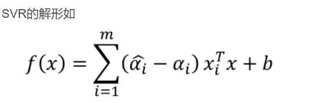
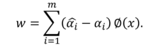
4.逼近函数的表示方法:
高维:

用核函数在低维空间表示内积:

注:<,>是求内积的符号;超平面的一般方程为:\(\overrightarrow{w^{T}} \overrightarrow{x_{i}} +b=0\),其中\(\overrightarrow{w^{T}}\)和\(\overrightarrow{x_{i}}\)都为向量,\(\overrightarrow{x_{i}}\)为输入的一个数据\(i\)的n个特征汇总成的n维特征向量。(后面的向量符号可能省略,但还是指同样的东西)
5.损失函数:\(ε-\)不敏感损失函数

将我们定义的\(\xi _{i}^{+}\) 和 \(\xi _{i}^{-}\)代入,发现:
\(L(y _{i})=\xi_{i}^{+} /\xi_{i}^{-}\)
将其引申,我们可以得出正则化风险的式子:
6.正则化风险最小化公式:

注:这里的\(\xi_{i}\)和\(\widehat{\xi_{i}}\)对应的是\(\xi _{i}^{-}\) 和 \(\xi _{i}^{+}\)。
第一项为结构风险(正则化风险),第二项为经验风险。
数据点满足“落在包含误差的区间”。
注:“|| ||”为向量的模
理解:\(ε\)是纵坐标的宽度,即超平面上方\(ε\)的点到同一横坐标的点的距离,
实际的垂直宽度\(d=\frac{|\overrightarrow{w^{T}} \overrightarrow{x} +b|}{\left \|\overrightarrow{w} \right \|}=\frac{\varepsilon }{\left \|\overrightarrow{w} \right \|}\);
SVR要在最大化宽度的同时最小化风险,故要最小化$\left |\overrightarrow{w} \right |^{2} $。
\(\xi _{i}^{+}\) 和 \(\xi _{i}^{-}\)是超出不敏感区域的大小,惩罚系数为C
7.核技巧:通过将低维线性不可分数据转换到高维空间,使之线性可分。






8.核函数的作用:
在希尔伯特空间中,核表示类似于内积,因此可以用低维的核函数表示高维空间的内积,
即
9.RBF/径向基函数/高斯核函数:

需要注意的是:按我的理解,对于每个\(x_{i}\)都会与其他所有的\(x\)进行核函数的内积操作,使得第i个数据从 n个m维向量 变为 \(n\times n\)个值
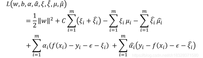
10.KKT/拉格朗日函数的构建:
具体的条件和证明就不复述,之前写过KKT的学习笔记。
引入拉格朗日乘子:\(\mu _{i}\)和\(\alpha _{i}\),将不等式约束条件转化相加,得到:

注:这里的\(\xi_{i}\)和\(\widehat{\xi_{i}}\)对应的是\(\xi _{i}^{-}\) 和 \(\xi _{i}^{+}\)。
于是任务就变为:寻找合适的\(\overrightarrow{w}\)和\(b\),使得式子的值最小。

P. max怎么插入的?:
Q. \(+\mu _{i}g(x)\)中\(\mu _{i}\ge 0,g(x)\le 0\),故 原式=max [原式\(+\mu _{i}g(x)\)]。
注:\(g(x)\)指不等式约束条件。
然后,这里引入对偶的概念:
对偶分为强对偶性和弱对偶性。
弱对偶性是指:所有这样的式子都有的,对所有这样的式子的生效的,凤尾恒大于鸡头的性质。
即:\(min max \ge max min\)
而强对偶性是指:部分式子拥有的性质,即两边取等于号,可互相转换。
此处式子有强对偶性。(具体为什么有去看别人的证明吧……)

\(\sum_{i=1}^{n} \alpha _{i}=\sum_{i=1}^{n} \widehat{\alpha _{i}}\)
$C=\mu _{i}+\alpha _{i}=\widehat{\mu _{i}} +\widehat{\alpha _{i}} $

其中第一个,第二个,第四个都为互补松弛性条件。
第三个是分情况讨论得来的(后面有证)。
至于约束条件就是约束的不等式,站点条件就是求偏导等于0,
还需要满足对偶可行性条件:
即:\(\widehat{\alpha _{i}} \ge 0,\alpha _{i} \ge 0,\widehat{\mu _{i}} \ge 0,\mu _{i}\ge 0\)


最后将求得的等式反代回去:

这个问题需要SMO来解,可能会在SMO的学习笔记再写。
11.关于支持向量的判别:
由于:

故\(\widehat{\alpha _{i}} -\alpha _{i}\ne 0\)的对\(w\)有贡献,为支持向量。
分类讨论:(不妨假设点一直在偏下方)
(1)点在不敏感区域内:
此时\(\xi_{i}=0,f(x)-y_{i}-\varepsilon -\xi_{i}=0\),
故\(\alpha _{i}=0\)。
同理:\(\widehat{\alpha _{i}}=0\)。
\(\widehat{\alpha _{i}} -\alpha _{i}=0\)。
(2)点在不敏感区域边界上:
此时\(\xi_{i}=0,f(x)-y_{i}-\varepsilon -\xi_{i}=0,\alpha _{i}\ne0\)。
\(\widehat{\xi_{i}}=0,y_{i}-f(x)-\varepsilon -\widehat{\xi_{i}}<0,\widehat{\alpha _{i}}=0\)。
\(\widehat{\alpha _{i}} -\alpha _{i}\ne 0\)。
同时:\(\xi_{i}=0,\mu_{i}>0,0<\alpha_{i}=C-\mu_{i}<C\)。
(3)点在不敏感区域外:
此时\(\xi_{i}\ne0,f(x)-y_{i}-\varepsilon -\xi_{i}=0,\alpha _{i}\ne0\)。
\(\widehat{\xi_{i}}=0,y_{i}-f(x)-\varepsilon -\widehat{\xi_{i}}<0,\widehat{\alpha _{i}}=0\)。
\(\widehat{\alpha _{i}} -\alpha _{i}\ne 0\)。
同时:\(\xi_{i}\ne0,\mu_{i}=0,\alpha_{i}=C-\mu_{i}=C\)。
注:可以看出\(\alpha _{i}\widehat{\alpha _{i}}=0,\xi _{i}\widehat{\xi _{i}}=0\)。
这体现了:问题的复杂性独立于输入空间的维度,而仅取决于支持向量的数量。
12.\(\alpha _{i}\)的取值:
一般用SMO算法确定(SMO中说)。
13.\(b\)的取值:
可以用:

也可以:

其中\(y_{r}\)和\(y_{s}\)是支持向量\(x\),选择求取平均值。
后者更具鲁棒性。
14.训练SVR模型时需要的三个参数:
损失函数参数ε、惩罚项C和高斯核参数γ。
C被称为正则化常数,它决定了经验风险和正则化项之间的权衡,增加C的值将导致经验风险的相对重要性增加。
参数γ表示高斯核的方差,控制核函数的敏感性。可以理解为:γ越大,核函数值就越分立,差距越大,就会越倾向于凹凸不平,弯弯曲曲的分界线,对错误的容忍度更低;γ越小,核函数值就越接近,差距越小,就会越倾向于平坦,笔直的分界线,对错误的容忍度更高,甚至会出现分类错误的情况。
只要误差小于损失函数参数ε,就不关心误差,但任何大于此的偏差都不会被接受。

浙公网安备 33010602011771号