拟合多项式

C++代码示例如下
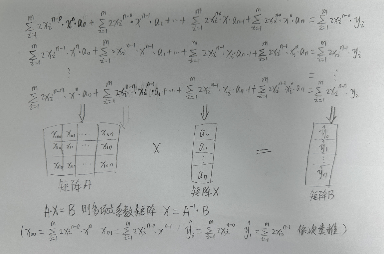
#include <iostream> #include <vector> #include<cmath> #include <ctime>//eigen核心部分 #include <Eigen/Core>//稠密矩阵的代数运算(逆、特征值等) #include <Eigen/Dense> using namespace Eigen; using namespace std; /// <summary> /// 拟合多项式 /// </summary> /// <param name="degree">多项式的次</param> /// <param name="x">x方向的数据点</param> /// <param name="y">y方向的数据点</param> /// <param name="a">多项式的系数</param> /// <param name="R2">决定系数</param> void Polynomial(int degree, std::vector<double> x, std::vector<double> y, std::vector<double> *a,double* R2) { // 生成矩阵A MatrixXd A(degree + 1, degree + 1); A.setZero(); for (int j = 0; j < degree + 1; j++) { for (int i = 0; i < degree + 1; i++) { for (int k = 0; k < (int)x.size(); k++) { A(i, j) += 2 * pow(x[k], degree - j) * pow(x[k], degree - i); } } } // 生成向量B VectorXd B(degree + 1); B.setZero(); for (int j = 0; j < degree + 1; j++) { for (int k = 0; k < (int)y.size(); k++) { B(j) += 2 * pow(x[k], degree - j) * y[k]; } } //多项式方程组系数向量 = 矩阵A的逆 * 向量B VectorXd X = A.inverse() * B; for (int i = 0; i < X.size(); i++) { a->push_back(X(i));//把多项式的系数推到向量指针里 } //计算决定系数R2 double sum_y = 0.0; for (int i = 0; i < (int)y.size(); i++) { sum_y += y[i]; } double mean_y = sum_y / y.size();//计算平均值 double ssr = 0, sst = 0; std::vector<double> fit_y;//拟合y for (int i = 0; i < (int)y.size(); i++) { double value = 0; for (int n = degree; n >= 0; n--) { value += X(degree - n) * pow(x[i], n);//逐个计算拟合后的y } fit_y.push_back(value);//把拟合后的y推到向量里 } for (int i = 0; i < (int)y.size(); i++) { ssr += pow(fit_y[i] - mean_y, 2); sst += pow(y[i] - mean_y, 2); } *R2 = ssr / sst; } int main(int argc, char** argv) { // 定义多项式的次 int degree = 3; // 定义数据点 std::vector<double> x = { 1, 2, 3 ,4, 5 }; std::vector<double> y = { 1.1, 3.2, 6.7, 18.3, 100.3 }; std::vector<double>* a = new std::vector<double>();; double R2 = 0; double* ptr = &R2; Polynomial(degree,x,y,a, ptr); //打印多项式系数 a0 a1... an int i = 0; for (double elem : *a) { cout << "a" << i++ << " = " << elem << endl; } cout << "R2 = "<< R2 << endl; }
using System; using System.Linq; using MathNet.Numerics; using MathNet.Numerics.LinearAlgebra; using MathNet.Numerics.LinearRegression; using MathNet.Numerics.Statistics; namespace QuadraticFitExample { class Program { static void Main(string[] args) { // 假设我们有一些样本数据点 double[] xData = { 1, 2, 3, 4, 5 }; double[] yData = { 1.1, 3.2, 6.7, 18.3, 100.3 }; // 指定多项式的阶数(这里是3次多项式) int degree = 3; // 使用LeastSquaresFit进行多项式拟合 double[] coefficients = Fit.Polynomial(xData, yData, degree); Console.WriteLine("多项式系数:"); for (int i = 0; i <= degree; i++) { Console.WriteLine($"x^{i}项系数: {coefficients[i]}"); } // 计算预测值(考虑到所有五次项) double[] predictedValues = xData.Select(x => coefficients.Select((coeff, power) => coeff * Math.Pow(x, power)).Sum()).ToArray(); // 计算均方误差和总平方和 double mse = MeanSquaredError(yData, predictedValues); double tss = TotalSumOfSquares(yData, Enumerable.Average(yData)); // 计算决定系数 R^2 double rSquared = 1.0 - mse / tss; Console.WriteLine($"\n决定系数 R^2: {rSquared}"); // 验证拟合效果(对原数据点进行预测并打印) foreach (var x in xData.Zip(predictedValues, (x, pred) => (x, pred))) { Console.WriteLine($"Predicted y for x={x.x}: {x.pred}"); } Console.ReadKey(); } // 辅助方法计算均方误差 static double MeanSquaredError(double[] actuals, double[] predictions) { return actuals.Zip(predictions, (a, p) => Math.Pow(a - p, 2)).Average(); } // 辅助方法计算总平方和 static double TotalSumOfSquares(double[] values, double mean) { return values.Sum(v => Math.Pow(v - mean, 2)); } } }



参考 多项式拟合的介绍与例子 - 知乎 (zhihu.com)

浙公网安备 33010602011771号