基于EKF(拓展卡尔曼滤波器)与里程计算法的机器人定位的MATLAB程序
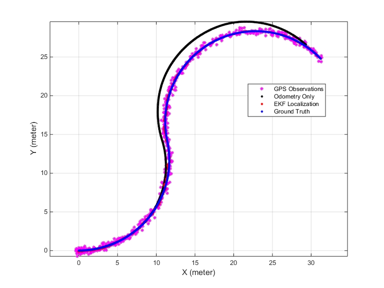
使用EKF模型与里程计模型(Odometry)对机器人进行定位,定位的结果跟GPS定位的真实值作比较,验证两种算法的可行性。
可以看出,EKF模型、里程计模型(Odometry)估计的误差变化趋势不同。
EKF模型估计的误差总体趋势平稳,稳定在一定范围内;
而里程计模型(Odometry)估计的误差会随着时间不断增加,最后达到无法满足实验要求。
纯里程计的误差为
error_Odom_average = 1.0283
Ekf定位的误差为
error_Ekf_average = 0.071629
ID:8669662338282767





浙公网安备 33010602011771号