作业一 PCA降维
【题目】
1.现有我国大陆30个省、直辖市、自治区的经济发展状况数据集如表所示,包括8项经济指标:国民生产总值(A1);居民消费水平(A2);固定资产投资(A3);职工平均工资(A4);货物周转量(A5);居民消费指数(A6);商品零售价格指数(A7);工业总产值(A8),试用基本PCA方法将这8项经济指标融合成3项综合指标。
【要求】
1.写出PCA完成降维的主要步骤;
2.详细写出题目降维的计算过程;
3.请大家在博客中直接完成或在作业本上完成后拍照上传

一、读取数据


二、去中心化-减去平均值


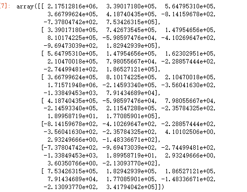
三、计算协方差矩阵


四、求特征值和特征向量

五降维

浙公网安备 33010602011771号