作业二决策树算法
【题目1】
表1所示的数据集表示豌豆种子在不同环境下能否发芽情况。豌豆种子自身有形状、大小和种皮颜色等特征,外部影响环境有土壤、水分和日照等特征。试通过所示数据集构建ID3决策树并根据最后一行测试数据预测该豌豆能否发芽。
【要求】
1.画出完整决策树;
2.预测测试1用例的发芽情况;
3.请大家在博客中直接完成或在作业本上完成后拍照上传。



【题目2】
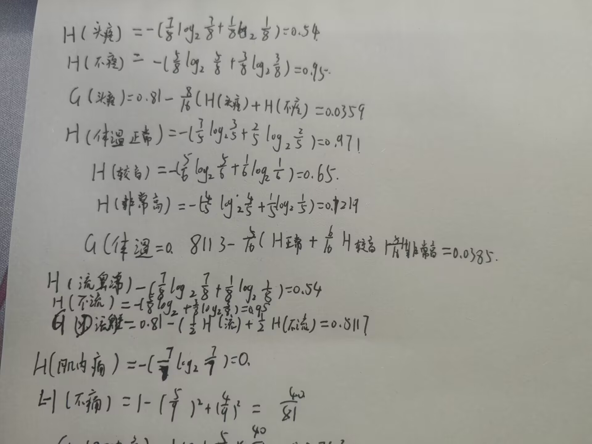
表2是一个由16个样本组成的感冒诊断训练数据集𝐷。每个样本由四个特征组成,即体温、流鼻涕、肌肉疼、头疼。其中体温特征有3个可能取值:普通、较高、非常高;流鼻涕,肌肉疼、头疼分别有两个可能取值:是、否;样本的标注值为是否感冒。试用ID3或C4.5算法通过训练数据集𝐷建立一个用于判断是否感冒的决策树。
【要求】
1.画出完整决策树;
1.写出决策树实现的基本步骤和关键公式;
2.写出决策树实现的详细计算过程;
3.本题实现可采用ID3或C4.5算法,建立使用C4.5算法;
4.请大家在博客中直接完成或在作业本上完成后拍照上传。



浙公网安备 33010602011771号