【学习笔记】傅里叶级数与变换原理和推导过程难点详解
傅里叶级数与变换
Part One 三角函数的正交性
什么是三角函数
三角函数系:集合
{0,1,sinx,cosx,sin2x,cos2x......sinnx,cosnx......} n=0,1,2......
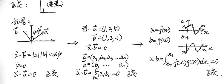
什么是正交

三角函数的正交

总结:从三角函数系取两个不同的元素相乘,乘积在[-π,π]定积分为0
Part Two 周期为“2π”的函数展开为傅里叶级数
结论:

推导过程:

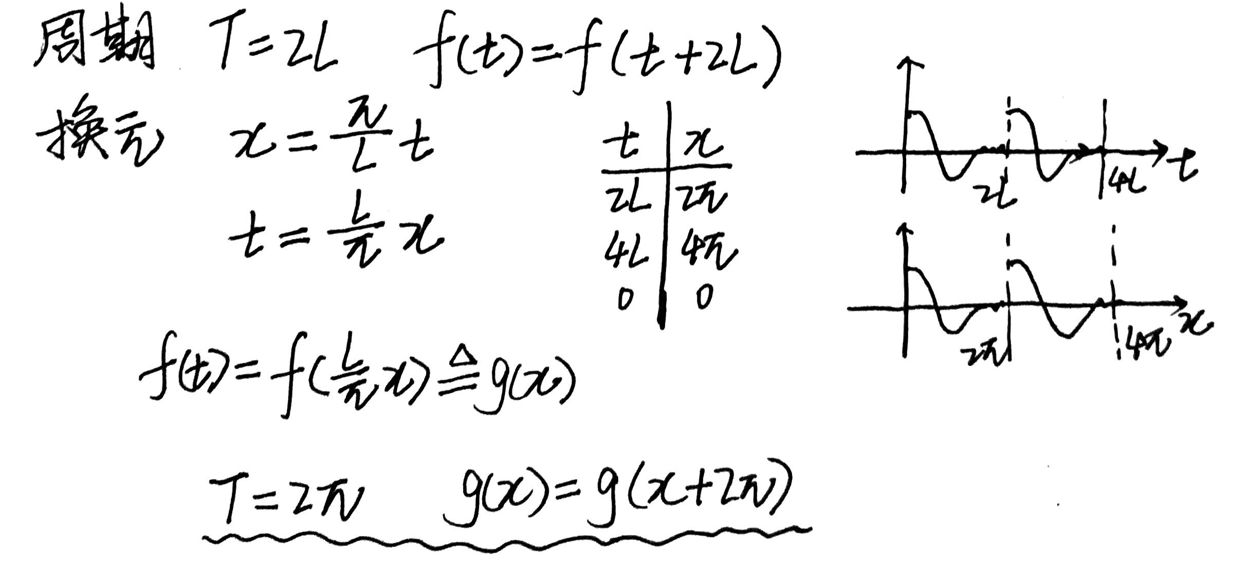
Part Three 周期为“2L”的函数展开为傅里叶级数
结论:

推导过程:
先换元

通过运用上一Part的结论,得出

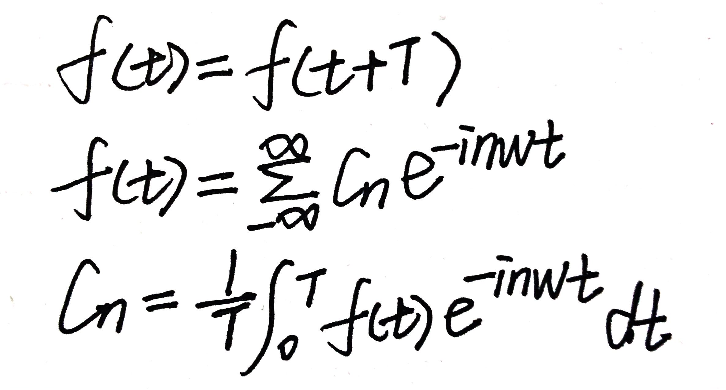
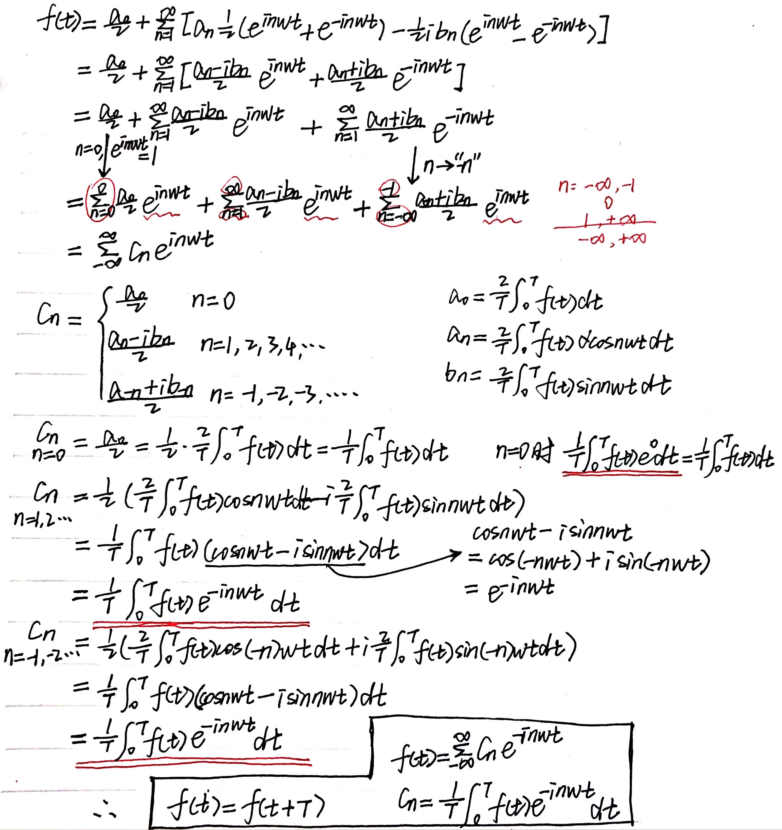
Part Four 傅里叶级数的复数形式
结论:

推导过程:
需用到欧拉公式

代入上一Part的结论中,得出

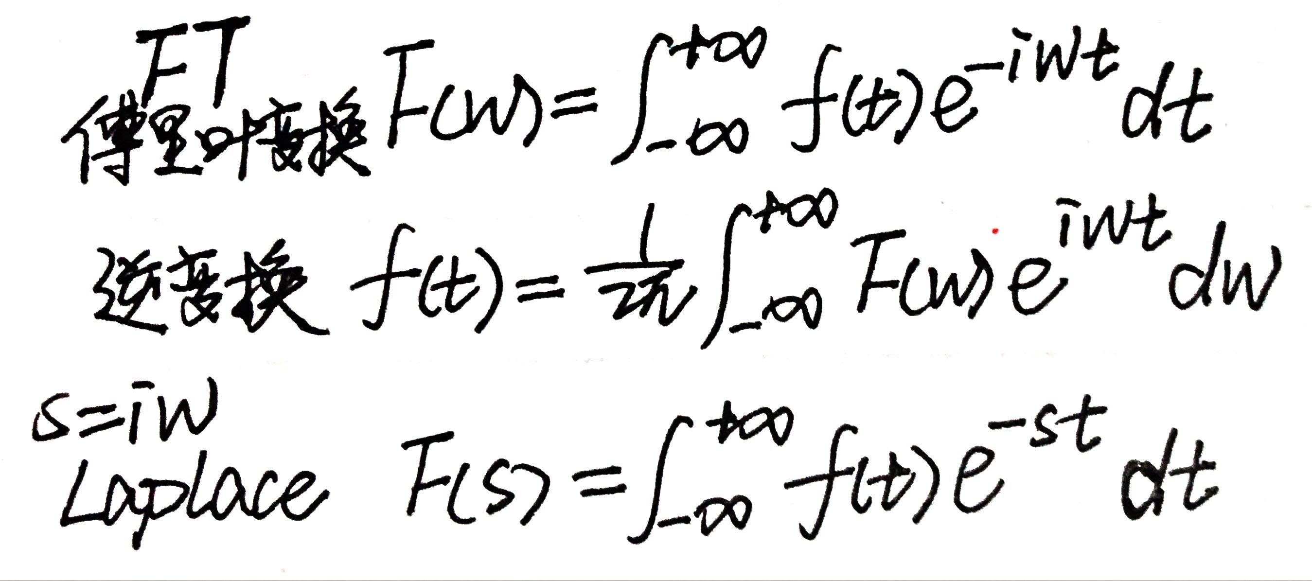
Part Five 傅里叶变换(FT)
结论:

推导过程:


浙公网安备 33010602011771号