线性回归
分类(0 or 1)和回归(多少范围内) 可以用来预测
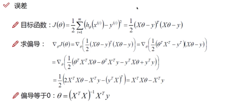
目标:找到θ矩阵的最优解
【不建议将线性回归用于分类问题】
机器学习:需要用到的数据,怎样学(目标函数),逐渐达成目标

偏置项作用:微调最终结果


目标是:误差项最小


数据在独立同分布的情况下,联合概率密度=边缘概率密度的乘积,(下面的似然函数)
变成对数似然的话函数曲线大致一样,不影响取最大值(也是目标),而且乘法变成加法计算起来也更加方便一点


下面的操作都是基于矩阵,(-1矩阵的求逆)


上面虽然求解出了日(当做一个巧合),但是没有体现出来机器学习的内容,应该是计算一个数据看看结果,然后调整,再次计算下一个数据看结果...

梯度下降一次走一点点,一次走太多的话容易走偏。最后在最低点左右徘徊


i 表示第几个样本,j表示第几列,Xij表示一个数
偏导数表示固定面上一点的切线斜率
Z(真实值-预测值)Xij

小批量梯度下降法里面的阿尔法就是步长
如何一步步移动?:是不是日更新了,再带入原来的数据 相比于之前就有移动?


浙公网安备 33010602011771号