贝叶斯算法
贝叶斯(朴素)



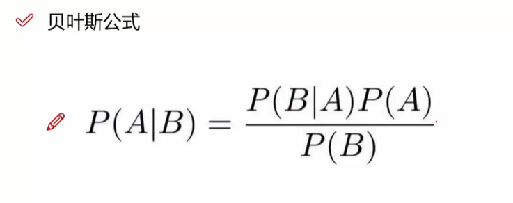
公式:
男60% 全部穿长裤
女40% 50%穿长裤
求穿长裤的人是女生的概率是多少?

P(A丨B):在B的条件下A发生的概率(不容易得出), B穿长裤的人 ,A女生
P(B丨A):在A的条件下B发生的概率(容易得出), A女生,穿长裤
P(A丨B)=0.5*0.4/(0.6*1+0.4*0.5)
普通计算法:

u*0.4*0.5/u(0.6*1+0.4*0.5)=0.4*0.5/0.8
例子1:拼写纠正
用户输入错误tlp, 到底是top 还是 tip ?
先验概率 top大(因为常用),按照top tip 两者到tlp的某种方法求得距离多少得出的概率
特定猜想的先验概率*你输入这个词是某个单词的概率



**例子




朴素贝叶斯:假设特征之间是独立的(对实际影响不大就行)

100封垃圾邮件里面一共多少词,垃圾邮件里面不同词出现的频率多少,统计di这个单词在垃圾邮件中出现的频率即可



浙公网安备 33010602011771号