高数-导数
前言
以下截图来自bilibili的宋浩老师 陈杰老师,我不生产资源,我只是资源的搬运工。宋浩老师的课适合一刷,陈杰老师的适合二刷,最后就是自己刷题复习了,如果大一大二没有认真听高数课的话,还是比较推荐看一下这些网课的,但最主要的还是自律,要不然再多的资源也是白给,u1s1感觉自己上了个b站大学哈哈哈哈 ![]()
1.常用导数公式

2.求导法则(和差积商)

3.反函数的求导法则

4.复合函数求导
复合函数求导简便方法:从外向里,层层求导



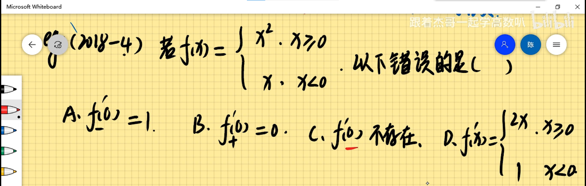
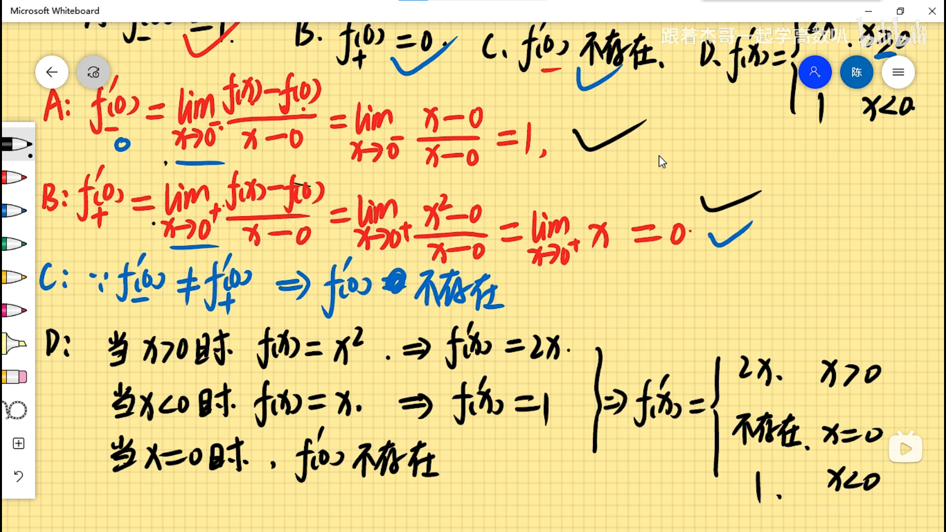
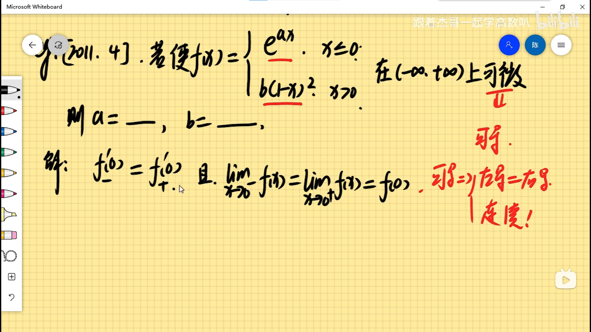
5.分段函数求导





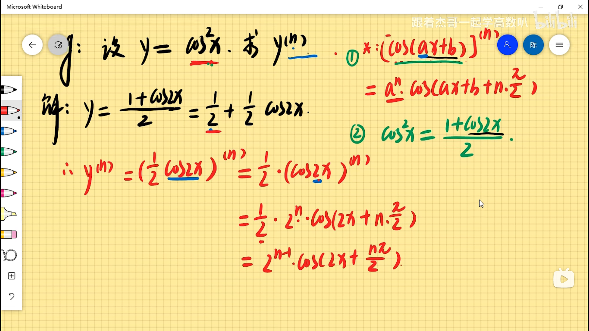
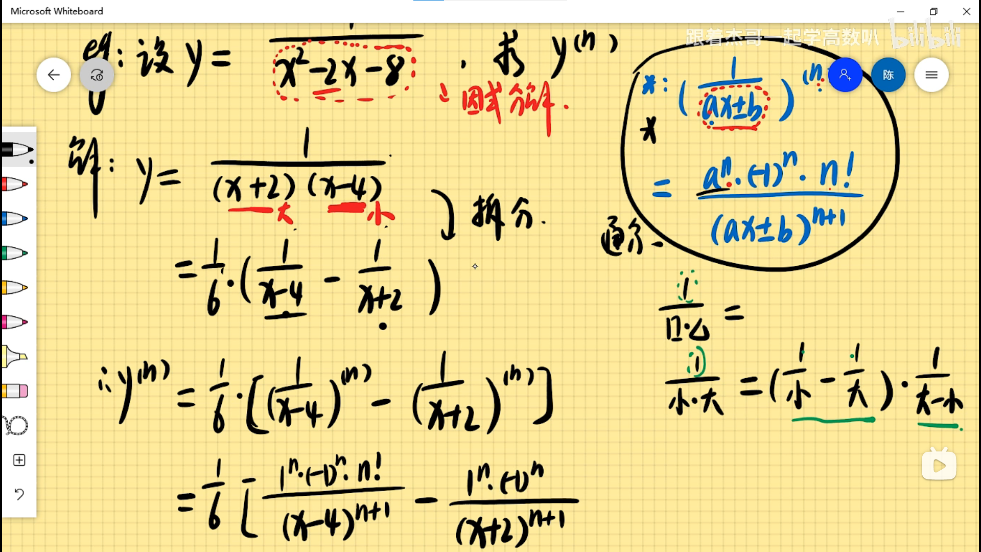
6.高阶导数











7.隐函数求导
方法一:直接求导


方法二:公式法


8.参数方程求导


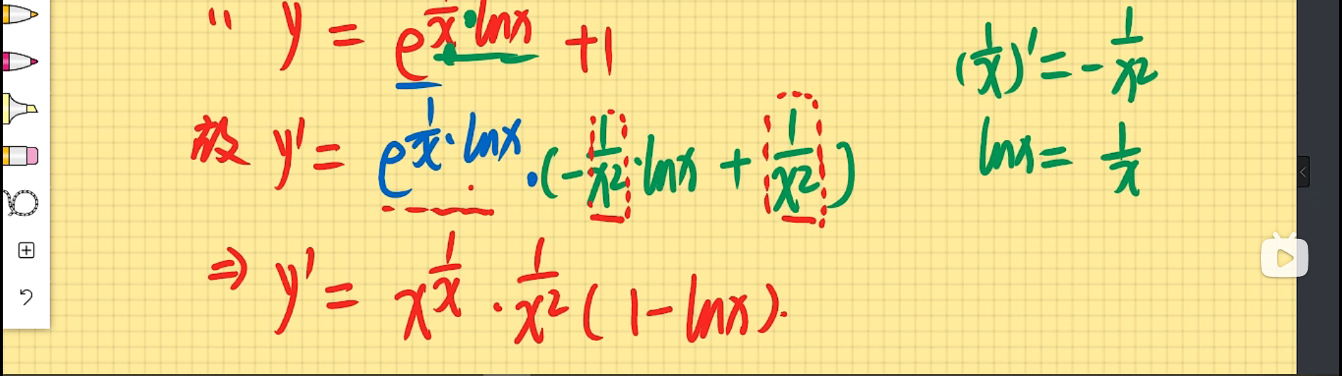
9.幂指函数求导


方法一:对数求导法

方法二:公式变形法

两种方法的使用范围




10.变限积分求导




本文来自博客园,作者:小刘爱学习呀,转载请注明原文链接:https://www.cnblogs.com/liuhao-blog/p/16828803.html


浙公网安备 33010602011771号