用户故事
用户画像
用户画像是描述目标用户群体的具体特征,包括他们的年龄、性别、兴趣、行为模式等。在足球比赛报告分析的情境中,用户画像可能包括:
1,球迷
姓名:爱足球
性别:不限
年龄:不限
教育程度:不限
特征:观众观看足球比赛的动机多种多样,热爱足球运动、支持特定球队或球员、享受比赛带来的激情与乐趣。
部分观众还会因为社交需求而观看比赛,如与亲朋好友一起观赛、在社交媒体上分享观点。
直播是观众观看足球比赛的首选方式,但由于时差等原因,部分观众也会选择录播或短视频等方式观看比赛精华。
随着移动互联网的发展,越来越多的观众倾向于使用手机或平板电脑等移动设备观看比赛。
观众在观看比赛时往往会进行互动与分享,如与朋友讨论比赛、在社交媒体上发布观点等。
这种互动与分享行为不仅增强了观众的参与感和归属感,还促进了足球文化的传播和发展。
四、其他特征
忠实度:部分观众对特定球队或球员具有高度的忠实度,他们会持续关注并观看该球队或球员的比赛,无论比赛结果如何。
消费意愿:足球比赛观众也具有一定的消费意愿,他们可能会购买门票、球衣、带有球队标志的服装等商品以表达对球队或球员的支持。
2,球队管理者:
姓名:爱管理
性别:不限
年龄:30-50
教育程度:本科
特征:有一定的管理经验,同时也要喜欢足球。个人有一定的足球水平。
3,媒体从业者:
姓名:爱媒体
性别:不限
年龄:20-50
教育程度:大专以上
特征:从事媒体工作也喜欢观看足球比赛。
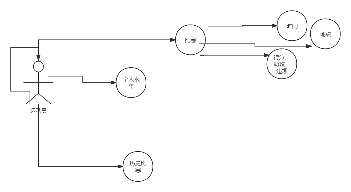
4,选手:
姓名:爱选手
性别:不限
年龄:18-45
教育程度:本科
特征:有高水平的足球技能,同时懂得团队合作
对比赛胜利有强烈的渴望。比赛认真对待。
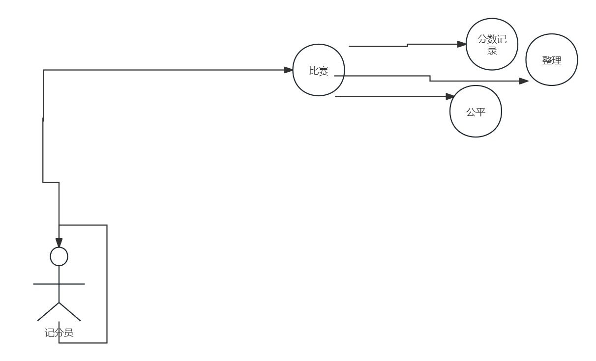
5,计分员
姓名:爱计分
性别:不限
年龄:20-30
教育程度:高中以上
特征:具有计算机操作能力
能在有效时间准确记录分数
有责任心时刻关注比赛
6,裁判员
姓名:爱裁判
性别:不限
年龄:30-50
教育程度:本科
特征:有一定的裁判经验,同时也要喜欢足球。个人有一定的足球水平。
公正公平 做出正确选择
7,赛事组
姓名:爱赛事
性别:不限
年龄:30-50
背景:
举办过重大比赛,能提供良好的比赛环境。
人员配置完善。
特征:有全面的赛事管理,报名,安排的流程
3)用户故事
用户故事是从用户的角度出发,描述用户在使用产品时想要完成的任务或达成的目标。在足球比赛报告分析中,用户故事可能包括:
“作为一名资深球迷,我希望能够获取到每场比赛的详细数据,以便更好地了解球队和球员的表现。”
“作为球队的管理者,我需要一份全面的比赛分析报告,以便发现球队在比赛中的问题和改进方向。”
“作为媒体从业者,我希望能够快速获取到最新的比赛数据和深度分析,以便及时撰写报道。”
4)用户故事地图
用户故事地图是将用户故事按照使用场景和流程进行排序和整理,形成一张可视化的路线图。在足球比赛报告分析中,用户故事地图可以帮助我们理解用户在使用报告分析功能时的整体流程和需求。
5)最小可用产品(MVP)
**最小可用产品(MVP)**是指用最小的成本和时间开发出能够满足用户基本需求的产品原型。在足球比赛报告分析项目中,MVP可能包括:
基本的数据展示功能:如比赛结果、球队和球员的统计数据等。
简单的数据分析功能:如进球时间分布、射门次数对比等。
用户反馈机制:收集用户对MVP的反馈,以便后续迭代和优化。
通过MVP的发布和迭代,我们可以快速验证产品愿景和用户需求的正确性,并不断优化产品功能,提升用户体验。







j1.教练分析
射门次数:统计比赛中射门的次数,包
括射正次数和射偏次数
进球数:统计比赛中进球的数量,包括
进球球员和进球时间
助攻数:统计比赛中助攻的次数,包括
助攻球员和助攻时间
角球数:统计比赛中角球的数量,包括
角球次数和角球位置
任意球数:统计比赛中任意球的数量,
包括任意球次数和任意球位置
越位次数:统计比赛中越位的次数,包
括越位球员和越位时间
2.球队管理
球员数据:包括年龄、身高、体重、位置、出场次数、进球数等
数据分析:通过对球员数据的分析,了解球员的特点和优势
球员培养:根据数据分析结果,制定球员培养计划,提高球员能力
球员转会:通过数据分析,评估球员的价值,为转会决策提供依据
3.观众
观众积极观看比赛,参与活动,讨论内容,文明观看
4,记分员
公平公正记录数据
5,媒体
及时访问,实时报道,记录比赛
6,组织者
组织好比赛纪律,为运动员提供良好的比赛环境。
7,裁判
促使比赛顺利进行
8,后勤
保障卫生
浙公网安备 33010602011771号