含量和分量的重新理解
在神经网络结构的学习中,乘加结构是基础,乘法是含量的计算,加法是分量的计算。
计算总和,则自然直观的把每个分量乘以权重(含量的百分比),再把这每个结果(分量)逐个加起来,得到一个整体。
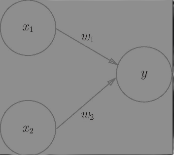
如图:

上图中,y是结果,y 由 x1 和 x2 两个分量组成,x1的有效成分占比是权重 w1 表示,x2 的有效成分占比是权重 w2 表示,这样 y 的总共有效成分为 y = x1 * w1 + x2 * w2 构成。
这种计算既符合直观的,自然的理解,也符合哲学“层级”结构的要求,即简洁又深奥。
链式法则

同理,在上图链式法则的求导公式中,我看到了同样的“含量,分量”结构。
在函数 f(x(t),y(t)) 中 变量 t 就是最终物质,它被包含在两个分量 x(t) 和 y(t) 中,那么针对求解函数 f 相对于 t 的变换率,则
(df / dt) = (∂f / ∂x) * (dx / dt) + (∂f / ∂y) * (dy / dt)
注意 ∂ 代表偏导,d 代表单变量导数。
总结
乘法对应着含量,对于的是 某物质的重量 / 整体重量 的一种百分比表示。
加法对于分量,是某物质的重量,是一种单纯的量的表示。
在上面的链式法则中,x(t) 和 y(t) 代表了不同的维度,它们之间是互不干涉的关系。
附
链式法则在多变量中的情况。单变量链式法则很简单,但多变量的话,可能需要用矩阵乘法或者组合偏导数。
比如,如果有函数f(x,y),而x和y又是t的函数,那么df/dt就是∂f/∂x * dx/dt + ∂f/∂y * dy/dt,这就是链式法则了。
如果是更复杂的情况,比如函数有多个变量,中间变量又是其他变量的函数,那么链式法则需要更仔细的应用。
比如,f(u,v), u=u(x,y), v=v(x,y),那么∂f/∂x = ∂f/∂u * ∂u/∂x + ∂f/∂v * ∂v/∂x,这个时候每个中间变量都要考虑进去,乘积然后相加。

浙公网安备 33010602011771号